Serwisy partnerskie:
Close icon
Serwisy partnerskie

Co to jest rezystor (opornik) i jak działa?

Article Image
Można śmiało powiedzieć, że rezystor to podstawowy element elektroniczny. Bez tego niepozornego podzespołu, współczesna elektronika nie mogłaby istnieć. Można wręcz stwierdzić, że rezystory są obecne w elektronice od samego jej początku!
1. Repetytorium użytkowej elektroniki 2. Repetytorium użytkowej elektroniki - Oświetlenie LED pod szafkami 3. Repetytorium użytkowej elektroniki - Oświetlenie do piwnicy 4. Repetytorium użytkowej elektroniki - Sygnalizator zalania 5. Repetytorium użytkowej elektroniki - Zasilacz do układu audio 6. Repetytorium użytkowej elektroniki - Zasilacz warsztatowy 7. Jaką wkrętarkę wybrać? Na co zwrócić uwagę przy zakupie? 8. Rodzaje tranzystorów bipolarnych i unipolarnych 9. Jak podłączyć taśmy LED 10. Inteligentny dom - wszystko co powinieneś wiedzieć o systemach SMART HOME 11. Jak podłączyć prostownik do akumulatora (ładowanie) 12. Drukarki 3D - budowa i zasada działania 13. Jak prawidłowo zarobić kabel antenowy? 14. Jaki czujnik czadu wybrać i gdzie najlepiej zamontować? 15. Programowanie mikrokontrolerów - o czym należy wiedzieć na początek? 16. Oscyloskop cyfrowy - jaki wybrać? 17. Co to jest barometr i jak działa? 18. Jaki wykrywacz metali kupić? Na co zwracać uwagę przy wyborze? 19. Jak działa sieć 5G i jakie daje możliwości? 20. Diody LED - napięcie diod o różnych kolorach 21. Jaki kompresor samochodowy kupić? 22. Czujniki parkowania - jakie wybrać? 23. Jak ustawić antenę do odbioru naziemnej TV DVB-T? 24. Co to jest rezystor (opornik) i jak działa? 25. Jakie są typy i rodzaje bezpieczników? 26. Co to jest układ scalony i jak działa? 27. Jak zmierzyć napięcie akumulatora miernikiem? 28. Jak zarobić kabel sieciowy RJ-45? 29. Lutowanie - jak lutować kable poprawnie? 30. Arduino - co to jest i jak zacząć? 31. Raspberry pi - co to jest, do czego służy, jak zacząć? 32. Do czego służą kondensatory - zasada działania 33. Co to jest bezpiecznik i jak działa? 34. Jak dobrać i wymienić bezpiecznik? 35. Rodzaje kondensatorów, ich oznaczenia i budowa 36. Kalafonia - co to jest? do czego służy? jak używać? 37. Przewodniki prądu - co przewodzi prąd, a co nie? 38. Jaka latarka czołowa sprawdzi się najlepiej? 39. Jak działa płytka stykowa (prototypowa)? 40. Jakie ogniwa 18650 wybrać i gdzie kupić akumulatorki? 41. Jaki powerbank wybrać? Czym kierować się przy kupnie? 42. Raspberry Pi czy Arduino? Co wybrać? 43. Pierwsze Prawo Kirchhoffa - przepływ prądu w obwodzie elektrycznym 44. Rezonator kwarcowy - schemat, oznaczenia i zastosowanie 45. Drugie Prawo Kirchhoffa - bilans spadku napięć w zamkniętym obwodzie elektrycznym 46. Do czego służy przedwzmacniacz? 47. Wzmacniacze audio - schematy i działanie 48. Co to jest kinematyka? Wzory kinematyki 49. Jaka ładowarka samochodowa będzie najlepsza? 50. Woltomierz - jak podłączyć i do czego służy? 51. Zasilacz laboratoryjny - jaki wybrać, do czego służy i jak użytkować? 52. Jaki magnes neodymowy kupić? 53. Jaki dron wybrać na początek, na co zwrócić uwagę przy kupnie? 54. Jaki filament wybrać - rodzaje filamentów do drukarek 3d 55. Co to jest termistor - zasada działania, jak dobierać? 56. Lokalizator GPS do samochodu - gdzie i jak zamontować? 57. Transmiter samochodowy - jak działa? 58. Jak działa ładowarka indukcyjna i jak nią ładować? 59. Jaki oczyszczacz powietrza wybrać? 60. Silniki prądu stałego - budowa, zastosowanie i zasada działania 61. Co to jest triak - jak go sprawdzić i jak działa? 62. Co to jest tranzystor MOSFET - jak działa, jak sprawdzać? 63. Izopropanol - do czego służy i gdzie kupić? 64. Co to jest tranzystor, jak działa i za co odpowiada? 65. Co to jest Transformator i jak działa? 66. Potencjometr obrotowy - schemat, podłączenie i zasada działania 67. Fotorezystor - charakterystyka, zastosowanie i zasada działania 68. Jak dobrać rezystor do diody? 69. Co to jest Tyrystor i do czego służy? 70. Jakie kable rozruchowe wybrać do samochodu? 71. Jaki miernik grubości lakieru kupić? 72. Pomiar jakości powietrza - jak sprawdzić jakość powietrza w domu i na zewnątrz? 73. Języki programowania sterowników PLC 74. Czym jest napięcie i natężenie prądu? 75. Reguła prawej dłoni, czyli ruch przewodnika w polu magnetycznym 76. Co to jest Bluetooth i jak działa? 77. Co to jest silnik krokowy - zasada działania i przeznaczenie 78. Jaką stację pogodową wybrać? Odpowiadamy czym kierować się przy kupnie 79. Jak działa przekaźnik? 80. Sterowniki PLC co to jest? Jakie jest ich zastosowanie i budowa? 81. Radiator i wentylator - czym są i jak działają? 82. Antena samochodowa - jaką wybrać? 83. Podłączenie czujnika ruchu 84. Czujnik ruchu - zasada działania 85. Wszelakie zastosowanie druku 3D - ogromny potencjał 86. Jaką drukarkę 3D kupić? - na co zwracać uwagę przy wyborze 87. Czyszczenie elektroniki - czym czyścić sprzęt elektroniczny? 88. Wytrawianie płytek drukowanych (PCB) - wszystko co powinieneś wiedzieć! 89. Jak sprawdzić tyrystor - opis jego działania 90. Transoptory - zastosowanie i zasada działania 91. Jak działa stabilizator napięcia i do czego służy? 92. Jak wymienić bezpiecznik w samochodzie? 93. Rodzaje regulatorów napięcia 94. Dioda prostownicza - charakterystyka, oznaczenia, budowa 95. Jaki wzmacniacz dźwięku wybrać? 96. Bramki logiczne - symbole i zastosowanie 97. Jakie przewody (kable) do głośników dobrać? 98. Do czego służy myjka ultradźwiękowa oraz zasada działania. Czego nie można myć? 99. Oscyloskop - co to jest i do czego służy? 100. Rodzaje czujników ruchu
Rozwiń cały spis treści Zwiń spis treści

Ten element, którego inna nazwa brzmi: opornik, posiada dwa wyprowadzenia. Czasem nazywa się je nóżkami, z racji upodobania do montażu ich na płytkach drukowanych. Rezystory mają różne gabaryty, kształty i kolory, ale ich działanie jest zawsze takie samo.

Rola rezystorów jest znana ludzkości od XIX wieku i od tamtej pory nie uległa zachwianiu. Wręcz przeciwnie, niemal każdy układ elektroniczny zawiera jakieś rezystory.

Jak działa rezystor?

Każdy rezystor cechuje się wieloma parametrami, a najważniejsza z nich to rezystancja (inna nazwa: oporność), która we wzorach występuje zazwyczaj jako R. Jednostką tej wielkości fizycznej jest wielka litera greckiego alfabetu omega - Ω - której próżno szukać na klawiaturze zawierającej wyłącznie znaki alfabetu łacińskiego. Z tego powodu powstało kilka pomysłów na zastąpienie problematycznego znaku, ale o tym dalej. Na razie będziemy posługiwać się pierwowzorem.

W języku polskim nazwa tej jednostki brzmi om - nie ohm czy Ohm. Można spotkać zarówno jej wielokrotności:

  • kiloom: 1 kΩ = 1000 Ω
  • megaom: 1 MΩ = 1000 kΩ = 1000000 Ω

jak i podwielokrotności:

  • miliom: 1 mΩ = 0,001 Ω
  • mikroom: 1 μΩ = 0,001 mΩ = 0,000001 Ω

Z rezystancją nierozerwalnie związane jest prawo Ohma, które reguluje związek między trzema fundamentalnymi  wielkościami zarówno w elektronice, jak i elektrotechnice: prądem I, napięciem U oraz rezystancją R. Na schematach, rezystor zaznacza się prostokątem, a prądy i napięcia przy użyciu odpowiednich strzałek:

Ohm odkrył bardzo prostą zależność: jeżeli rezystancja R jest stała, to przyłożenie napięcia U powoduje przepływ prądu o natężeniu I. Oraz w drugą stronę: jeżeli prąd I płynie przez rezystor R, to odkłada się na nim napięcie U. Jeszcze inaczej: jeżeli przez rezystor płynie prąd I, a między jego wyprowadzeniami panuje napięcie U, to jego opór wynosi R.

W postaci wzorów można to wyrazić następująco:

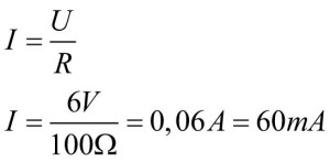
Przykładowo, jeżeli do baterii o U = 6 V podłączymy rezystor R = 100 Ω, to popłynie przez niego prąd I:

Łączenie rezystorów

Rezystor ma dwie nóżki, więc można się pokusić o łączenie ich między sobą. Co nam to daje? Rezystor o nowych właściwościach, zwany rezystorem zastępczym. Można w ten sposób uzyskać element o rezystancji dokładnie takiej, jakiej potrzebujemy w danym zastosowaniu.

Połączenie szeregowe

W tym układzie, jedno wyprowadzenie pierwszego rezystora jest połączone z dokładnie jednym wyprowadzeniem drugiego. Wolno “wiszące” nóżki to końcówki nowego elementu. Ważne, aby do miejsca połączenia rezystorów nic dodatkowego nie było podłączone.

Rezystancja wypadkowa takiego układu to suma rezystancji obu tych elementów. Można połączyć ich więcej - 3, 4 lub 57 - obowiązuje ta sama zasada. Co ważne, przez wszystkie rezystory płynie prąd o dokładnie takim samym natężeniu. Wypadkowa rezystancja zawsze będzie większa od rezystancji każdego z elementów, który wchodzi w skład tego połączenia.

Połączenie równoległe

Ten układ wygląda nieco inaczej: obie nóżki rezystorów są ze sobą połączone. Zaciskami nowego, zastępczego rezystora są miejsca ich połączenia.

Można połączyć równolegle większą liczbę rezystorów, ale powyższy wzór obowiązuje tylko dla dwóch elementów. Na zaciskach każdego z nich panuje napięcie o dokładnie tej samej wartości. Rezystancja zastępcza zawsze będzie mniejsza od rezystancji każdego z elementów tworzących ten układ.

Parametry rezystorów

Z tymi niepozornymi elementami wiąże się kilka parametrów. Sprawdźmy, jakie są najważniejsze.

Rezystancja

Ta najważniejsza - z punktu widzenia rezystora - wielkość była już omawiana. Ale w sklepach nie znajdziemy rezystorów o dowolnych wartościach, załóżmy, 4,3157 kΩ. Można je co najwyżej zamówić wprost u producenta, co wiąże się ze znacznymi kosztami.

Elementy dostępne w handlu mają rezystancje pogrupowane w tzw. szereg wartości. Oznacza się go literą E z liczbą, np. E6, E12, E192. Liczba przy E oznacza ile wartości rezystancji przypada na jedną dekadę. Zatem im wyższa liczba stoi przy E, tym dokładniejsze są rezystory. Każdy szereg ma swoje wartości bazowe, które są mnożone przez całkowite potęgi liczby 10. 

Na przykład, w popularnym szeregu E12 występują takie wartości:

Rezystory wyprodukowane według tego szeregu mogą mieć wartości 33Ω, 470kΩ, 1,2Ω czy 8,2MΩ, ale już nie 8,4Ω czy 110kΩ.

Tolerancja

Przez to pojęcie rozumiemy dopuszczalny rozrzut rezystancji względem wartości nominalnej danego elementu. Podawana jest w procentach [%] Na przykład, rezystor 15 kΩ o tolerancji 5% może mieć faktyczną rezystancję zawierającą się w przedziale [-5% ; +5%] jego deklarowanej rezystancji. Po krótkich obliczeniach uzyskujemy przedział od 14,25 kΩ do 15,75 kΩ.

Im mniejsza tolerancja - np. 1% czy 0,05% - tym dokładniej ustalona będzie faktyczna rezystancja względem deklarowanej, ale element będzie droższy.

Kod paskowy

Wiele rezystorów ma rezystancję i tolerancję zakodowaną w formie kolorowych pasków. Ostatni zawsze oznacza tolerancję, przedostatni mnożnik, a pierwsze 2 (czasem 3) rezystancję.

Jak z tego korzystać? Wystarczy ułożyć przed sobą rezystor i rozpoznać kolory pasków na jego obudowie. Może być potrzebna pomoc szkła powiększającego dla tych szczególnie małych elementów.

Moc

Moc rezystorów jest podawana w watach [W]. Im większa, tym większą jej ilość można na danym elemencie wytracić. Trzeba przy tym pamiętać o zachowaniu prawidłowego chłodzenia - jeżeli ciepło, na które zamienia się moc, nie będzie skutecznie odprowadzane, element przegrzeje się i spali.

Im większa jest dopuszczalna moc tracona, tym dany element ma większe gabaryty. Nie zawsze ta prawidłowość obowiązuje - w niektórych sytuacjach producenci stosują inną technologię aby uzyskać większą wytrzymałość rezystora przy zachowaniu tych samych rozmiarów jego korpusu.

Napięcie

Każdy rezystor ma określone przez jego producenta dopuszczalne napięcie pracy w woltach [V]. Jeżeli zostanie przekroczone, element może ulec przebiciu, a w efekcie zniszczeniu.

Zastosowania rezystorów 

Rezystory są tak wszechstronne, że spotyka się je niemal wszędzie. Ale kilka miejsc, w których można je znaleźć, jest dosyć charakterystycznych.

Redukcja natężenia prądu 

Rola rezystora w większości układów sprowadza się do ograniczania natężenia prądu. Jeżeli tak skonfigurujemy obwód, aby na rezystorze zawsze odkładało się napięcie o znanej i stałej wartości, to popłynie przez niego prąd o znanym natężeniu. Taka funkcja rezystora jest często wykorzystywana do zasilania diod LED, które wymagają określonego prądu. Wymaganą rezystancję szukanego elementu oblicza się z prostego wzoru:

Pomoc w pomiarze natężenia prądu

Rezystor możemy też wykorzystać jako konwerter prądu na napięcie. Korzystają z tego przyrządy zwane amperomierzami, zwłaszcza w nowoczesnej, cyfrowej postaci. Prąd, którego natężenie chcemy zmierzyć, przepływa przez specjalny rezystor (nazywany w tej roli bocznikiem), a przyrząd mierzy napięcie, jakie na nim powstaje. Po przeliczeniu, dokonanym przy pomocy prawa Ohma, możemy poznać natężenie prądu z naprawdę imponującą dokładnością.

Zmniejszenie napięcia

Jeszcze inną strukturą, charakterystyczną dla rezystorów, jest dzielnik napięcia. To układ dwóch (lub więcej) połączonych szeregowo rezystorów. Wejściem dzielnika jest cały szereg, a wyjściem - zaciski wybranego rezystora.

Przy użyciu dzielnika można proporcjonalnie zmniejszyć napięcie, jakie daje jeden układ, aby było ono “zrozumiałe” dla drugiego, który operuje na niższych wartościach. Na przykład, pomiar napięcia akumulatora samochodowego (około 12 V) przez układ obsługujący napięcie od 0 V do 3,3 V. Multimetry obsługujące różne zakresy pomiarowe napięcia również mają wbudowany dzielnik. Nieco bardziej złożony - ale nadal dzielnik.

Co jest ważne, o współczynniku podziału mówi stosunek wartości rezystorów, a nie same ich wartości. Dzielnik złożony z dwóch rezystorów, załóżmy, 10 Ω będzie działał tak samo, jak gdyby złożyć go z rezystorów 47 kΩ. Inne parametry dzielnika ulegną zmianie, ale samo napięcie będzie dzielone tak samo.

Regulowany dzielnik napięcia?

Specjalnym wykonaniem dzielnika jest potencjometr. To element zawierający ścieżkę oporową, po której przesuwa się niewielka blaszka (lub szczoteczka) przewodząca prąd. Każdy potencjometr ma trzy wyprowadzenia: skrajne prowadzą do ścieżki oporowej, a środkowa do tego elementu ruchomego.

W zależności od położenia osi potencjometru, rezystancja między wyprowadzeniami 1-2 oraz 2-3 zmienia się: kiedy jedna rośnie, to druga maleje. Ale ich suma, która występuje w mianowniku wzoru na dzielnik napięcia, jest niezmienna. Dlatego potencjometrem można łatwo regulować napięcie. Używa się tego, na przykład, do regulacji głośności ze wzmacniaczach audio.

Potencjometru można używać również jako rezystora o zmiennej wartości. Wystarczy użyć wyprowadzeń 1-2 lub 2-3, nic więcej. 

Konwerter rezystancja-napięcie

Wiele czujników analogowych (światła, temperatury, nacisku i nie tylko) reaguje na zmianę natężenia bodźca poprzez zmianę swojej rezystancji. Pomiar rezystancji jest niewygodny dla układów elektronicznych - wolimy mierzyć napięcie, tak jest szybciej. Dlatego, podobnie jak z pomiarem prądu, tak i problem pomiaru rezystancji można przekształcić do pomiaru napięcia. Wystarczy użyć wspomnianego wyżej dzielnika napięcia.

Jako jeden z rezystorów dzielnika włączamy wspomniany wyżej czujnik, a potem mierzymy napięcie na jego zaciskach. I to wszystko, gotowe! Niestety, taki prosty układ do konwersji rezystancji na napięcie ma pewną wadę - jest nieliniowy. Oznacza to, że zmiana rezystancji czujnika nie będzie dawała proporcjonalnej zmiany napięcia. Powodem jest występowanie interesującej nas rezystancji (w tej konfiguracji, będzie to odpowiednik rezystora R1) zarówno w liczniku, jak i w mianowniku ułamka. 

To jest pewna niedogodność, ale do prostych czujników taki układ nadaje się bez problemu. Do bardziej złożonych zastosowań mamy inne metody pomiaru rezystancji.

Problematyczny symbol

Wielka litera omega - Ω - która oficjalnie jest jednostką rezystancji, sprawa wiele problemów. Nie ma jej, na przykład, wśród podstawowego zestawu znaków ASCII, którymi posługują się proste sterowniki. A trzeba powiedzieć, że tego typu maszyny są odpowiedzialne za np. drukowanie i naklejanie etykiet na opakowania rezystorów. Jak producenci sobie z tym radzą?

Najczęściej spotykany wariant to użycie R zamiast Ω w miejscach, gdzie nie mamy wielokrotności. Na przykład:

110 R = 110 Ω
1,8 R = 1,8 Ω

Jeżeli rezystancja jest znaczna, czyli wyrażone w kiloomach i megaomach, literę Ω po prostu się pomija:

12 k = 12 kΩ
2,2 M = 2,2 MΩ

Analogicznie robi się, kiedy mamy do czynienia z miliomami:

1,5 m = 1,5 mΩ
470 m = 470 mΩ

Jednak przecinek również można pominąć i zastosować zamiast niego literę. Powstają wtedy takie twory jak:

60R4 = 60,4 Ω
4M7 = 4,7 MΩ
12k3 = 12,3 kΩ
2m2 = 2,2 mΩ

Niekiedy zamiast Ω jest używane słowo om, czyli 

15 om = 15 Ω
4,7 kom = 4,7 kΩ

Warto znać te sztuczki aby być przygotowanym na różne pułapki. 

Podsumowanie

Rezystory to elementy elektroniczne, których zasada działania jest bardzo prosta. Nie zmienia to faktu, że ich zastosowań jest naprawdę wiele. Niemal żaden układ elektroniczny nie może się obyć bez rezystorów!

1. Repetytorium użytkowej elektroniki 2. Repetytorium użytkowej elektroniki - Oświetlenie LED pod szafkami 3. Repetytorium użytkowej elektroniki - Oświetlenie do piwnicy 4. Repetytorium użytkowej elektroniki - Sygnalizator zalania 5. Repetytorium użytkowej elektroniki - Zasilacz do układu audio 6. Repetytorium użytkowej elektroniki - Zasilacz warsztatowy 7. Jaką wkrętarkę wybrać? Na co zwrócić uwagę przy zakupie? 8. Rodzaje tranzystorów bipolarnych i unipolarnych 9. Jak podłączyć taśmy LED 10. Inteligentny dom - wszystko co powinieneś wiedzieć o systemach SMART HOME 11. Jak podłączyć prostownik do akumulatora (ładowanie) 12. Drukarki 3D - budowa i zasada działania 13. Jak prawidłowo zarobić kabel antenowy? 14. Jaki czujnik czadu wybrać i gdzie najlepiej zamontować? 15. Programowanie mikrokontrolerów - o czym należy wiedzieć na początek? 16. Oscyloskop cyfrowy - jaki wybrać? 17. Co to jest barometr i jak działa? 18. Jaki wykrywacz metali kupić? Na co zwracać uwagę przy wyborze? 19. Jak działa sieć 5G i jakie daje możliwości? 20. Diody LED - napięcie diod o różnych kolorach 21. Jaki kompresor samochodowy kupić? 22. Czujniki parkowania - jakie wybrać? 23. Jak ustawić antenę do odbioru naziemnej TV DVB-T? 24. Co to jest rezystor (opornik) i jak działa? 25. Jakie są typy i rodzaje bezpieczników? 26. Co to jest układ scalony i jak działa? 27. Jak zmierzyć napięcie akumulatora miernikiem? 28. Jak zarobić kabel sieciowy RJ-45? 29. Lutowanie - jak lutować kable poprawnie? 30. Arduino - co to jest i jak zacząć? 31. Raspberry pi - co to jest, do czego służy, jak zacząć? 32. Do czego służą kondensatory - zasada działania 33. Co to jest bezpiecznik i jak działa? 34. Jak dobrać i wymienić bezpiecznik? 35. Rodzaje kondensatorów, ich oznaczenia i budowa 36. Kalafonia - co to jest? do czego służy? jak używać? 37. Przewodniki prądu - co przewodzi prąd, a co nie? 38. Jaka latarka czołowa sprawdzi się najlepiej? 39. Jak działa płytka stykowa (prototypowa)? 40. Jakie ogniwa 18650 wybrać i gdzie kupić akumulatorki? 41. Jaki powerbank wybrać? Czym kierować się przy kupnie? 42. Raspberry Pi czy Arduino? Co wybrać? 43. Pierwsze Prawo Kirchhoffa - przepływ prądu w obwodzie elektrycznym 44. Rezonator kwarcowy - schemat, oznaczenia i zastosowanie 45. Drugie Prawo Kirchhoffa - bilans spadku napięć w zamkniętym obwodzie elektrycznym 46. Do czego służy przedwzmacniacz? 47. Wzmacniacze audio - schematy i działanie 48. Co to jest kinematyka? Wzory kinematyki 49. Jaka ładowarka samochodowa będzie najlepsza? 50. Woltomierz - jak podłączyć i do czego służy? 51. Zasilacz laboratoryjny - jaki wybrać, do czego służy i jak użytkować? 52. Jaki magnes neodymowy kupić? 53. Jaki dron wybrać na początek, na co zwrócić uwagę przy kupnie? 54. Jaki filament wybrać - rodzaje filamentów do drukarek 3d 55. Co to jest termistor - zasada działania, jak dobierać? 56. Lokalizator GPS do samochodu - gdzie i jak zamontować? 57. Transmiter samochodowy - jak działa? 58. Jak działa ładowarka indukcyjna i jak nią ładować? 59. Jaki oczyszczacz powietrza wybrać? 60. Silniki prądu stałego - budowa, zastosowanie i zasada działania 61. Co to jest triak - jak go sprawdzić i jak działa? 62. Co to jest tranzystor MOSFET - jak działa, jak sprawdzać? 63. Izopropanol - do czego służy i gdzie kupić? 64. Co to jest tranzystor, jak działa i za co odpowiada? 65. Co to jest Transformator i jak działa? 66. Potencjometr obrotowy - schemat, podłączenie i zasada działania 67. Fotorezystor - charakterystyka, zastosowanie i zasada działania 68. Jak dobrać rezystor do diody? 69. Co to jest Tyrystor i do czego służy? 70. Jakie kable rozruchowe wybrać do samochodu? 71. Jaki miernik grubości lakieru kupić? 72. Pomiar jakości powietrza - jak sprawdzić jakość powietrza w domu i na zewnątrz? 73. Języki programowania sterowników PLC 74. Czym jest napięcie i natężenie prądu? 75. Reguła prawej dłoni, czyli ruch przewodnika w polu magnetycznym 76. Co to jest Bluetooth i jak działa? 77. Co to jest silnik krokowy - zasada działania i przeznaczenie 78. Jaką stację pogodową wybrać? Odpowiadamy czym kierować się przy kupnie 79. Jak działa przekaźnik? 80. Sterowniki PLC co to jest? Jakie jest ich zastosowanie i budowa? 81. Radiator i wentylator - czym są i jak działają? 82. Antena samochodowa - jaką wybrać? 83. Podłączenie czujnika ruchu 84. Czujnik ruchu - zasada działania 85. Wszelakie zastosowanie druku 3D - ogromny potencjał 86. Jaką drukarkę 3D kupić? - na co zwracać uwagę przy wyborze 87. Czyszczenie elektroniki - czym czyścić sprzęt elektroniczny? 88. Wytrawianie płytek drukowanych (PCB) - wszystko co powinieneś wiedzieć! 89. Jak sprawdzić tyrystor - opis jego działania 90. Transoptory - zastosowanie i zasada działania 91. Jak działa stabilizator napięcia i do czego służy? 92. Jak wymienić bezpiecznik w samochodzie? 93. Rodzaje regulatorów napięcia 94. Dioda prostownicza - charakterystyka, oznaczenia, budowa 95. Jaki wzmacniacz dźwięku wybrać? 96. Bramki logiczne - symbole i zastosowanie 97. Jakie przewody (kable) do głośników dobrać? 98. Do czego służy myjka ultradźwiękowa oraz zasada działania. Czego nie można myć? 99. Oscyloskop - co to jest i do czego służy? 100. Rodzaje czujników ruchu
Rozwiń cały spis treści Zwiń spis treści
Firma:
Tematyka materiału: rezystor, opornik, prawo Ohma, Jak działa rezystor, Łączenie rezystorów, Połączenie szeregowe, Połączenie równoległe, Rezystancja, Tolerancja, Kod paskowy, moc, napięcie, natężenie prądu
AUTOR
Udostępnij
Zobacz wszystkie quizy
Quiz weekendowy
Poziomy logiczne
1/10 Jakie rodziny układów logicznych są najczęściej stosowane współcześnie?
Oceń najnowsze wydanie EdW
Wypełnij ankietę i odbierz prezent
UK Logo
Elektronika dla Wszystkich
Zapisując się na nasz newsletter możesz otrzymać GRATIS
najnowsze e-wydanie magazynu "Elektronika dla Wszystkich"