Serwisy partnerskie:
Close icon
Serwisy partnerskie

Jakie przewody (kable) do głośników dobrać?

Article Image
Między głośnikami a wzmacniaczem zazwyczaj jest dystans rzędu kilku metrów. Aby prąd mógł przepływać swobodnie między tymi elementami zestawu audio, trzeba połączyć je przewodem. Jak go dobrać prawidłowo?
1. Repetytorium użytkowej elektroniki 2. Repetytorium użytkowej elektroniki - Oświetlenie LED pod szafkami 3. Repetytorium użytkowej elektroniki - Oświetlenie do piwnicy 4. Repetytorium użytkowej elektroniki - Sygnalizator zalania 5. Repetytorium użytkowej elektroniki - Zasilacz do układu audio 6. Repetytorium użytkowej elektroniki - Zasilacz warsztatowy 7. Jaką wkrętarkę wybrać? Na co zwrócić uwagę przy zakupie? 8. Rodzaje tranzystorów bipolarnych i unipolarnych 9. Jak podłączyć taśmy LED 10. Inteligentny dom - wszystko co powinieneś wiedzieć o systemach SMART HOME 11. Jak podłączyć prostownik do akumulatora (ładowanie) 12. Drukarki 3D - budowa i zasada działania 13. Jak prawidłowo zarobić kabel antenowy? 14. Jaki czujnik czadu wybrać i gdzie najlepiej zamontować? 15. Programowanie mikrokontrolerów - o czym należy wiedzieć na początek? 16. Oscyloskop cyfrowy - jaki wybrać? 17. Co to jest barometr i jak działa? 18. Jaki wykrywacz metali kupić? Na co zwracać uwagę przy wyborze? 19. Jak działa sieć 5G i jakie daje możliwości? 20. Diody LED - napięcie diod o różnych kolorach 21. Jaki kompresor samochodowy kupić? 22. Czujniki parkowania - jakie wybrać? 23. Jak ustawić antenę do odbioru naziemnej TV DVB-T? 24. Co to jest rezystor (opornik) i jak działa? 25. Jakie są typy i rodzaje bezpieczników? 26. Co to jest układ scalony i jak działa? 27. Jak zmierzyć napięcie akumulatora miernikiem? 28. Jak zarobić kabel sieciowy RJ-45? 29. Lutowanie - jak lutować kable poprawnie? 30. Arduino - co to jest i jak zacząć? 31. Raspberry pi - co to jest, do czego służy, jak zacząć? 32. Do czego służą kondensatory - zasada działania 33. Co to jest bezpiecznik i jak działa? 34. Jak dobrać i wymienić bezpiecznik? 35. Rodzaje kondensatorów, ich oznaczenia i budowa 36. Kalafonia - co to jest? do czego służy? jak używać? 37. Przewodniki prądu - co przewodzi prąd, a co nie? 38. Jaka latarka czołowa sprawdzi się najlepiej? 39. Jak działa płytka stykowa (prototypowa)? 40. Jakie ogniwa 18650 wybrać i gdzie kupić akumulatorki? 41. Jaki powerbank wybrać? Czym kierować się przy kupnie? 42. Raspberry Pi czy Arduino? Co wybrać? 43. Pierwsze Prawo Kirchhoffa - przepływ prądu w obwodzie elektrycznym 44. Rezonator kwarcowy - schemat, oznaczenia i zastosowanie 45. Drugie Prawo Kirchhoffa - bilans spadku napięć w zamkniętym obwodzie elektrycznym 46. Do czego służy przedwzmacniacz? 47. Wzmacniacze audio - schematy i działanie 48. Co to jest kinematyka? Wzory kinematyki 49. Jaka ładowarka samochodowa będzie najlepsza? 50. Woltomierz - jak podłączyć i do czego służy? 51. Zasilacz laboratoryjny - jaki wybrać, do czego służy i jak użytkować? 52. Jaki magnes neodymowy kupić? 53. Jaki dron wybrać na początek, na co zwrócić uwagę przy kupnie? 54. Jaki filament wybrać - rodzaje filamentów do drukarek 3d 55. Co to jest termistor - zasada działania, jak dobierać? 56. Lokalizator GPS do samochodu - gdzie i jak zamontować? 57. Transmiter samochodowy - jak działa? 58. Jak działa ładowarka indukcyjna i jak nią ładować? 59. Jaki oczyszczacz powietrza wybrać? 60. Silniki prądu stałego - budowa, zastosowanie i zasada działania 61. Co to jest triak - jak go sprawdzić i jak działa? 62. Co to jest tranzystor MOSFET - jak działa, jak sprawdzać? 63. Izopropanol - do czego służy i gdzie kupić? 64. Co to jest tranzystor, jak działa i za co odpowiada? 65. Co to jest Transformator i jak działa? 66. Potencjometr obrotowy - schemat, podłączenie i zasada działania 67. Fotorezystor - charakterystyka, zastosowanie i zasada działania 68. Jak dobrać rezystor do diody? 69. Co to jest Tyrystor i do czego służy? 70. Jakie kable rozruchowe wybrać do samochodu? 71. Jaki miernik grubości lakieru kupić? 72. Pomiar jakości powietrza - jak sprawdzić jakość powietrza w domu i na zewnątrz? 73. Języki programowania sterowników PLC 74. Czym jest napięcie i natężenie prądu? 75. Reguła prawej dłoni, czyli ruch przewodnika w polu magnetycznym 76. Co to jest Bluetooth i jak działa? 77. Co to jest silnik krokowy - zasada działania i przeznaczenie 78. Jaką stację pogodową wybrać? Odpowiadamy czym kierować się przy kupnie 79. Jak działa przekaźnik? 80. Sterowniki PLC co to jest? Jakie jest ich zastosowanie i budowa? 81. Radiator i wentylator - czym są i jak działają? 82. Antena samochodowa - jaką wybrać? 83. Podłączenie czujnika ruchu 84. Czujnik ruchu - zasada działania 85. Wszelakie zastosowanie druku 3D - ogromny potencjał 86. Jaką drukarkę 3D kupić? - na co zwracać uwagę przy wyborze 87. Czyszczenie elektroniki - czym czyścić sprzęt elektroniczny? 88. Wytrawianie płytek drukowanych (PCB) - wszystko co powinieneś wiedzieć! 89. Jak sprawdzić tyrystor - opis jego działania 90. Transoptory - zastosowanie i zasada działania 91. Jak działa stabilizator napięcia i do czego służy? 92. Jak wymienić bezpiecznik w samochodzie? 93. Rodzaje regulatorów napięcia 94. Dioda prostownicza - charakterystyka, oznaczenia, budowa 95. Jaki wzmacniacz dźwięku wybrać? 96. Bramki logiczne - symbole i zastosowanie 97. Jakie przewody (kable) do głośników dobrać? 98. Do czego służy myjka ultradźwiękowa oraz zasada działania. Czego nie można myć? 99. Oscyloskop - co to jest i do czego służy? 100. Rodzaje czujników ruchu
Rozwiń cały spis treści Zwiń spis treści

Do czego służą przewody głośnikowe?

Ich rolą jest zapewnienie połączenia elektrycznego między wzmacniaczem a głośnikiem. Wzmacniacz wystawia na swoje zaciski odpowiednie napięcie, zmieniające się wraz z chwilowym poziomem sygnału audio, a głośnik z tego napięcia korzysta. Ponieważ głośnik stanowi dla wzmacniacza obciążenie, płynie przez niego prąd o określonym natężeniu, proporcjonalnym (w uproszczeniu) do napięcia.

Przewód głośnikowy w jak najmniejszym stopniu na wpływać na przepływ prądu od wzmacniacza do głośnika (jedną żyłą) i z powrotem (druga żyłą). Jednak, jak okaże się dalej, to wcale nie jest takie proste, jak by się mogło wydawać.

Przewody głośnikowe - czego od nich oczekujemy?

Jeżeli taki przewód ma mieć możliwie mały wpływ na płynący prąd, to powinien mieć, przede wszystkim, jak najniższą rezystancję. Im niższa (najlepiej zerowa), tym więcej energii oddanej przez wzmacniacz dotrze do zacisków naszego głośnika. 

Lecz fizyka jest nieubłagana: mniejsza rezystancja przewodu wymaga większego pola przekroju poprzecznego. Mówiąc prościej, taki przewód musi być grubszy. Ale grubszy oznacza też, że będzie droższy i ciężej się go będzie układało. Najlepiej, aby był nieskończenie gruby, choć to niemożliwe. 

Z kolei, przewód zbyt cienki wprowadzi zbyt duże straty mocy. W ekstremalnej sytuacji, kiedy moc wzmacniacza będzie naprawdę wysoka, może nawet dojść do przepalenia się takiego przewodu. Dlatego trzeba ustalić pewien kompromis: przewód zbyt cienki nie spełni swojego zadania,a zbyt gruby będzie niepotrzebnie zawyżał cenę całego instalacji audio.

Jak jest zbudowany przewód głośnikowy?

Charakterystyczną cechą tego typu przewodów jest przezroczysta lub półprzezroczysta, pojedyncza izolacja. Pojedyncza, ponieważ napięcia występujące w instalacjach głośnikowych nie są wysokie i nie ma tutaj ryzyka porażenia. 

Wewnątrz izolacji są dwie żyły wykonane z metalu. Każda żyła została spleciona z wielu cieniutkich drucików, dzięki czemu taki przewód jest elastyczny. Pole przekroju poprzecznego, wspomniane wcześniej, odnosi się do całej żyły tj. całego splotu mnóstwa drucików. Im większe jest to pole, wyrażane w milimetrach kwadratowych [mm2], tym większa jest również średnica żyły, więc przewód jest - mówiąc potocznie, grubszy.

Rodzaje przewodnika

Materiałem, z którego wykonane są żyły przewodów głośnikowych, najczęściej jest miedź. Niektórzy sprzedawcy posługują się jej symbolem chemicznym, czyli Cu. To relatywnie tani metal o bardzo dobrych właściwościach elektrycznych, więc miedziane przewody to dobry wybór. Ale na rynku można znaleźć również inne rodzaje przewodów, oznaczone tajemniczymi i akronimami.

OFC

Ten rodzaj przewodów jest zazwyczaj droższy od standardowych. Oxygen Free Copper, czyli miedź beztlenowa, to bardzo dobry wybór. Jak sama nazwa wskazuje, zawartość tlenu w metalu tworzącym ten przewód jest znacznie niższa (chociaż nie zerowa) w porównaniu ze zwykłymi przewodami.

Parametry elektryczne są podobne, jak zwykłych przewodów miedzianych, ale ten rodzaj przewodów zdecydowanie dłużej zachowuje swoje właściwości. Mniejsza zawartość tlenu oznacza wolniej zachodzące procesy utleniania miedzi, więc degradacja zachodzi wolniej. Ten przewód również bardzo dobrze się pobiela i lutuje.

CCA

Ten rodzaj przewodów budzi wiele kontrowersji w środowisku elektroakustyków. Nie bez powodu: są tanie, znacznie tańsze od zwykłych przewodów miedzianych, ale - jak zwykle w życiu bywa - niska cena niesie za sobą inne skutki.

Otóż przewody CCA składają się z drucików aluminiowych, które zostały jedynie pokryte cieniutką warstwą miedzi. Z zewnątrz wyglądają podobnie do “zwykłych” - z tą różnicą, że są znacznie lżejsze od miedzianych, a kolor żył jest jakby przybrudzony.

Ten rodzaj przewodu ma kilka wad. Po pierwsze, jego rezystancja jest wyższa niż miedzianego, więc przewód CCA musi być grubszy niż miedziany. Po drugie, trudno się je lutuje - zazwyczaj to można zrobić tylko raz, następne roztopienie spoiwa niszczy cienką, miedzianą powłokę, ale bywają też przewody CCA kompletnie niezdatne do lutowania.

Warstwa miedzi jest cienka i nietrwała, więc takie przewody wciśnięte do zacisków po pewnym czasie pokrywają się warstwą tlenków i siarczków, które źle przewodzą prąd. W szczególności szkodliwy jest tlenek aluminium Al2O3, który bardzo pogarsza jakość kontaktu. Dodatkowo, takie przewody często się łamią (lub wyłamują się poszczególne druciki), ponieważ aluminium jest kruche.

Duża ich zaletą jest natomiast cena. Dlatego trzeba dobrze się zastanowić zanim się je wybierze, czy aby ta oszczędność przyniesie oczekiwany efekt.

CCS

To przewody zbudowane podobnie jak CCA, z tą różnicą, że rdzeń w nich jest stalowy, a nie aluminiowy. Nie mają tak dobrych parametrów jak zwykła, czysta miedź - lista ich wad jest podobna, jak w przypadku CCA. Są natomiast sporo cięższe od nich z powodu zawartości stali, a nie lekkiego aluminium.

Jak dobrać przekrój?

Nie ma jednoznacznego kryterium, ponieważ im mniejsza rezystancja takiego przewodu, tym lepiej. Na rezystancję mają wpływ trzy rzeczy:

  • długość przewodu
  • pole przekroju poprzecznego
  • materiał przewodu

Długość jest zazwyczaj wymuszona układem kolumn w pomieszczeniu. Warto jednak zadbać, aby przewody prowadzić “z głową”, by ich długość była możliwie mała. Drugi czynnik, czyli pole przekroju poprzecznego, zostanie dobrany podczas obliczeń. 

Jeżeli zaś chodzi o materiał, to w obliczeniach przyjmiemy, że chodzi o miedź - inne rodzaje przewodów, jak CCA czy CCS mają inną rezystancję, więc ciężko tutaj podać jednoznaczne dane. Można natomiast odnaleźć dane konkretnego przewodu i na ich podstawie dokonać obliczeń.

Zazwyczaj przyjmuje się, aby całkowita rezystancja wprowadzana przez taki przewód stanowiła 3...5% znamionowej impedancji kolumny. Niektórzy przyjmują inne “widełki”, ale wstępnie można założyć takie. Ich przesunięcie w stronę niższych wartości (np. 1...2%) może być konieczne w przypadku zestawów o bardzo dużej mocy, większej niż typowe kino domowe.

Na podstawie internetowego kalkulatora (https://lumier.pl/kalkulator/) wykonano tabelę, która zawiera rezystancję miedzianego, dwużyłowego przewodu o długości 1 m i określonym przekroju poprzecznym:

Przykład obliczeniowy

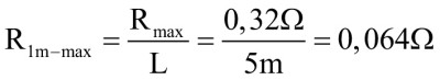
Załóżmy, że mamy do podłączenia kolumny oddalone od wzmacniacza stereo. Minimalna długość przewodu wynosi 5 m do każdej z kolumn. Znamionowa impedancja kolumn wynosi 8 Ω, a ich moc to 30 W - można więc przyjąć, że podane wyżej reguły są prawidłowe. Zależy nam na możliwie wiernej reprodukcji dźwięku ale bez ponoszenia znacznych kosztów, więc z przedziału 3...5% wybierzemy 4% - taka ma być dopuszczalna rezystancja przewodu względem nominalnej impedancji kolumn.

Maksymalna rezystancja całego przewodu:

Maksymalna rezystancja jednego metra przewodu:

Patrząc do tabeli, te wymagania spełnia przewód 0,75 mm². Jego rezystancja na 1 m jest mniejsza od obliczonego minimum. Możemy, oczywiście, kupić przewód o większym przekroju, na przykład 1,5 mm², aby mieć zapas.

Podsumowanie

Prawidłowy dobór przewodu głośnikowego to nie tylko określenie wymaganej długości. Równie ważne jest pole przekroju poprzecznego - aby niepotrzebnie nie narażać się na wydatki, ale też by być zadowolonym z naszego zestawu audio. 

Trzeba przy tym zachować czujność i uważnie czytać etykiety przewodów. Skróty typu OFC czy CCA nie będą już tajemnicą!

1. Repetytorium użytkowej elektroniki 2. Repetytorium użytkowej elektroniki - Oświetlenie LED pod szafkami 3. Repetytorium użytkowej elektroniki - Oświetlenie do piwnicy 4. Repetytorium użytkowej elektroniki - Sygnalizator zalania 5. Repetytorium użytkowej elektroniki - Zasilacz do układu audio 6. Repetytorium użytkowej elektroniki - Zasilacz warsztatowy 7. Jaką wkrętarkę wybrać? Na co zwrócić uwagę przy zakupie? 8. Rodzaje tranzystorów bipolarnych i unipolarnych 9. Jak podłączyć taśmy LED 10. Inteligentny dom - wszystko co powinieneś wiedzieć o systemach SMART HOME 11. Jak podłączyć prostownik do akumulatora (ładowanie) 12. Drukarki 3D - budowa i zasada działania 13. Jak prawidłowo zarobić kabel antenowy? 14. Jaki czujnik czadu wybrać i gdzie najlepiej zamontować? 15. Programowanie mikrokontrolerów - o czym należy wiedzieć na początek? 16. Oscyloskop cyfrowy - jaki wybrać? 17. Co to jest barometr i jak działa? 18. Jaki wykrywacz metali kupić? Na co zwracać uwagę przy wyborze? 19. Jak działa sieć 5G i jakie daje możliwości? 20. Diody LED - napięcie diod o różnych kolorach 21. Jaki kompresor samochodowy kupić? 22. Czujniki parkowania - jakie wybrać? 23. Jak ustawić antenę do odbioru naziemnej TV DVB-T? 24. Co to jest rezystor (opornik) i jak działa? 25. Jakie są typy i rodzaje bezpieczników? 26. Co to jest układ scalony i jak działa? 27. Jak zmierzyć napięcie akumulatora miernikiem? 28. Jak zarobić kabel sieciowy RJ-45? 29. Lutowanie - jak lutować kable poprawnie? 30. Arduino - co to jest i jak zacząć? 31. Raspberry pi - co to jest, do czego służy, jak zacząć? 32. Do czego służą kondensatory - zasada działania 33. Co to jest bezpiecznik i jak działa? 34. Jak dobrać i wymienić bezpiecznik? 35. Rodzaje kondensatorów, ich oznaczenia i budowa 36. Kalafonia - co to jest? do czego służy? jak używać? 37. Przewodniki prądu - co przewodzi prąd, a co nie? 38. Jaka latarka czołowa sprawdzi się najlepiej? 39. Jak działa płytka stykowa (prototypowa)? 40. Jakie ogniwa 18650 wybrać i gdzie kupić akumulatorki? 41. Jaki powerbank wybrać? Czym kierować się przy kupnie? 42. Raspberry Pi czy Arduino? Co wybrać? 43. Pierwsze Prawo Kirchhoffa - przepływ prądu w obwodzie elektrycznym 44. Rezonator kwarcowy - schemat, oznaczenia i zastosowanie 45. Drugie Prawo Kirchhoffa - bilans spadku napięć w zamkniętym obwodzie elektrycznym 46. Do czego służy przedwzmacniacz? 47. Wzmacniacze audio - schematy i działanie 48. Co to jest kinematyka? Wzory kinematyki 49. Jaka ładowarka samochodowa będzie najlepsza? 50. Woltomierz - jak podłączyć i do czego służy? 51. Zasilacz laboratoryjny - jaki wybrać, do czego służy i jak użytkować? 52. Jaki magnes neodymowy kupić? 53. Jaki dron wybrać na początek, na co zwrócić uwagę przy kupnie? 54. Jaki filament wybrać - rodzaje filamentów do drukarek 3d 55. Co to jest termistor - zasada działania, jak dobierać? 56. Lokalizator GPS do samochodu - gdzie i jak zamontować? 57. Transmiter samochodowy - jak działa? 58. Jak działa ładowarka indukcyjna i jak nią ładować? 59. Jaki oczyszczacz powietrza wybrać? 60. Silniki prądu stałego - budowa, zastosowanie i zasada działania 61. Co to jest triak - jak go sprawdzić i jak działa? 62. Co to jest tranzystor MOSFET - jak działa, jak sprawdzać? 63. Izopropanol - do czego służy i gdzie kupić? 64. Co to jest tranzystor, jak działa i za co odpowiada? 65. Co to jest Transformator i jak działa? 66. Potencjometr obrotowy - schemat, podłączenie i zasada działania 67. Fotorezystor - charakterystyka, zastosowanie i zasada działania 68. Jak dobrać rezystor do diody? 69. Co to jest Tyrystor i do czego służy? 70. Jakie kable rozruchowe wybrać do samochodu? 71. Jaki miernik grubości lakieru kupić? 72. Pomiar jakości powietrza - jak sprawdzić jakość powietrza w domu i na zewnątrz? 73. Języki programowania sterowników PLC 74. Czym jest napięcie i natężenie prądu? 75. Reguła prawej dłoni, czyli ruch przewodnika w polu magnetycznym 76. Co to jest Bluetooth i jak działa? 77. Co to jest silnik krokowy - zasada działania i przeznaczenie 78. Jaką stację pogodową wybrać? Odpowiadamy czym kierować się przy kupnie 79. Jak działa przekaźnik? 80. Sterowniki PLC co to jest? Jakie jest ich zastosowanie i budowa? 81. Radiator i wentylator - czym są i jak działają? 82. Antena samochodowa - jaką wybrać? 83. Podłączenie czujnika ruchu 84. Czujnik ruchu - zasada działania 85. Wszelakie zastosowanie druku 3D - ogromny potencjał 86. Jaką drukarkę 3D kupić? - na co zwracać uwagę przy wyborze 87. Czyszczenie elektroniki - czym czyścić sprzęt elektroniczny? 88. Wytrawianie płytek drukowanych (PCB) - wszystko co powinieneś wiedzieć! 89. Jak sprawdzić tyrystor - opis jego działania 90. Transoptory - zastosowanie i zasada działania 91. Jak działa stabilizator napięcia i do czego służy? 92. Jak wymienić bezpiecznik w samochodzie? 93. Rodzaje regulatorów napięcia 94. Dioda prostownicza - charakterystyka, oznaczenia, budowa 95. Jaki wzmacniacz dźwięku wybrać? 96. Bramki logiczne - symbole i zastosowanie 97. Jakie przewody (kable) do głośników dobrać? 98. Do czego służy myjka ultradźwiękowa oraz zasada działania. Czego nie można myć? 99. Oscyloskop - co to jest i do czego służy? 100. Rodzaje czujników ruchu
Rozwiń cały spis treści Zwiń spis treści
Firma:
Tematyka materiału: audio, kable, przewody, głośniki, kolumny
AUTOR
Udostępnij
Zobacz wszystkie quizy
Quiz weekendowy
Poziomy logiczne
1/10 Jakie rodziny układów logicznych są najczęściej stosowane współcześnie?
Oceń najnowsze wydanie EdW
Wypełnij ankietę i odbierz prezent
UK Logo
Elektronika dla Wszystkich
Zapisując się na nasz newsletter możesz otrzymać GRATIS
najnowsze e-wydanie magazynu "Elektronika dla Wszystkich"