Serwisy partnerskie:
Close icon
Serwisy partnerskie

Co to jest termistor - zasada działania, jak dobierać?

Article Image
Termistor to podzespół elektroniczny, który na zmianę temperatury swojej struktury reaguje adekwatną zmianą rezystancji. Termistory mają kilka obszarów zastosowań, a część z nich jest mało oczywista.
1. Repetytorium użytkowej elektroniki 2. Repetytorium użytkowej elektroniki - Oświetlenie LED pod szafkami 3. Repetytorium użytkowej elektroniki - Oświetlenie do piwnicy 4. Repetytorium użytkowej elektroniki - Sygnalizator zalania 5. Repetytorium użytkowej elektroniki - Zasilacz do układu audio 6. Repetytorium użytkowej elektroniki - Zasilacz warsztatowy 7. Jaką wkrętarkę wybrać? Na co zwrócić uwagę przy zakupie? 8. Rodzaje tranzystorów bipolarnych i unipolarnych 9. Jak podłączyć taśmy LED 10. Inteligentny dom - wszystko co powinieneś wiedzieć o systemach SMART HOME 11. Jak podłączyć prostownik do akumulatora (ładowanie) 12. Drukarki 3D - budowa i zasada działania 13. Jak prawidłowo zarobić kabel antenowy? 14. Jaki czujnik czadu wybrać i gdzie najlepiej zamontować? 15. Programowanie mikrokontrolerów - o czym należy wiedzieć na początek? 16. Oscyloskop cyfrowy - jaki wybrać? 17. Co to jest barometr i jak działa? 18. Jaki wykrywacz metali kupić? Na co zwracać uwagę przy wyborze? 19. Jak działa sieć 5G i jakie daje możliwości? 20. Diody LED - napięcie diod o różnych kolorach 21. Jaki kompresor samochodowy kupić? 22. Czujniki parkowania - jakie wybrać? 23. Jak ustawić antenę do odbioru naziemnej TV DVB-T? 24. Co to jest rezystor (opornik) i jak działa? 25. Jakie są typy i rodzaje bezpieczników? 26. Co to jest układ scalony i jak działa? 27. Jak zmierzyć napięcie akumulatora miernikiem? 28. Jak zarobić kabel sieciowy RJ-45? 29. Lutowanie - jak lutować kable poprawnie? 30. Arduino - co to jest i jak zacząć? 31. Raspberry pi - co to jest, do czego służy, jak zacząć? 32. Do czego służą kondensatory - zasada działania 33. Co to jest bezpiecznik i jak działa? 34. Jak dobrać i wymienić bezpiecznik? 35. Rodzaje kondensatorów, ich oznaczenia i budowa 36. Kalafonia - co to jest? do czego służy? jak używać? 37. Przewodniki prądu - co przewodzi prąd, a co nie? 38. Jaka latarka czołowa sprawdzi się najlepiej? 39. Jak działa płytka stykowa (prototypowa)? 40. Jakie ogniwa 18650 wybrać i gdzie kupić akumulatorki? 41. Jaki powerbank wybrać? Czym kierować się przy kupnie? 42. Raspberry Pi czy Arduino? Co wybrać? 43. Pierwsze Prawo Kirchhoffa - przepływ prądu w obwodzie elektrycznym 44. Rezonator kwarcowy - schemat, oznaczenia i zastosowanie 45. Drugie Prawo Kirchhoffa - bilans spadku napięć w zamkniętym obwodzie elektrycznym 46. Do czego służy przedwzmacniacz? 47. Wzmacniacze audio - schematy i działanie 48. Co to jest kinematyka? Wzory kinematyki 49. Jaka ładowarka samochodowa będzie najlepsza? 50. Woltomierz - jak podłączyć i do czego służy? 51. Zasilacz laboratoryjny - jaki wybrać, do czego służy i jak użytkować? 52. Jaki magnes neodymowy kupić? 53. Jaki dron wybrać na początek, na co zwrócić uwagę przy kupnie? 54. Jaki filament wybrać - rodzaje filamentów do drukarek 3d 55. Co to jest termistor - zasada działania, jak dobierać? 56. Lokalizator GPS do samochodu - gdzie i jak zamontować? 57. Transmiter samochodowy - jak działa? 58. Jak działa ładowarka indukcyjna i jak nią ładować? 59. Jaki oczyszczacz powietrza wybrać? 60. Silniki prądu stałego - budowa, zastosowanie i zasada działania 61. Co to jest triak - jak go sprawdzić i jak działa? 62. Co to jest tranzystor MOSFET - jak działa, jak sprawdzać? 63. Izopropanol - do czego służy i gdzie kupić? 64. Co to jest tranzystor, jak działa i za co odpowiada? 65. Co to jest Transformator i jak działa? 66. Potencjometr obrotowy - schemat, podłączenie i zasada działania 67. Fotorezystor - charakterystyka, zastosowanie i zasada działania 68. Jak dobrać rezystor do diody? 69. Co to jest Tyrystor i do czego służy? 70. Jakie kable rozruchowe wybrać do samochodu? 71. Jaki miernik grubości lakieru kupić? 72. Pomiar jakości powietrza - jak sprawdzić jakość powietrza w domu i na zewnątrz? 73. Języki programowania sterowników PLC 74. Czym jest napięcie i natężenie prądu? 75. Reguła prawej dłoni, czyli ruch przewodnika w polu magnetycznym 76. Co to jest Bluetooth i jak działa? 77. Co to jest silnik krokowy - zasada działania i przeznaczenie 78. Jaką stację pogodową wybrać? Odpowiadamy czym kierować się przy kupnie 79. Jak działa przekaźnik? 80. Sterowniki PLC co to jest? Jakie jest ich zastosowanie i budowa? 81. Radiator i wentylator - czym są i jak działają? 82. Antena samochodowa - jaką wybrać? 83. Podłączenie czujnika ruchu 84. Czujnik ruchu - zasada działania 85. Wszelakie zastosowanie druku 3D - ogromny potencjał 86. Jaką drukarkę 3D kupić? - na co zwracać uwagę przy wyborze 87. Czyszczenie elektroniki - czym czyścić sprzęt elektroniczny? 88. Wytrawianie płytek drukowanych (PCB) - wszystko co powinieneś wiedzieć! 89. Jak sprawdzić tyrystor - opis jego działania 90. Transoptory - zastosowanie i zasada działania 91. Jak działa stabilizator napięcia i do czego służy? 92. Jak wymienić bezpiecznik w samochodzie? 93. Rodzaje regulatorów napięcia 94. Dioda prostownicza - charakterystyka, oznaczenia, budowa 95. Jaki wzmacniacz dźwięku wybrać? 96. Bramki logiczne - symbole i zastosowanie 97. Jakie przewody (kable) do głośników dobrać? 98. Do czego służy myjka ultradźwiękowa oraz zasada działania. Czego nie można myć? 99. Oscyloskop - co to jest i do czego służy? 100. Rodzaje czujników ruchu
Rozwiń cały spis treści Zwiń spis treści

Termistor - co to jest?

Na początku należy uściślić, że rezystancja każdego obiektu, w tym również zwykłych rezystorów, ulega zmianie pod wpływem temperatury. Ma to związek z charakterystyczną budową otaczającej nas materii - im wyższa temperatura, tym silniejsze są naturalne drgania sieci krystalicznej składającej się z atomów. Jeżeli przez taką strukturę spróbujemy przepuścić prąd elektryczny, nośniki ładunku zaczną “rozbijać się” o drgające atomy, co utrudni ich przepływ.

Zatem naturalną konsekwencją wzrostu temperatury jest również wzrost rezystancji: rozgrzany materiał, na przykład metal, gorzej przewodzi prąd. Zazwyczaj ta cecha nam przeszkadza, poniewaz powoduje zmianę właściwości układów elektronicznych po ich rozgrzaniu. Ale nie zawsze.

Termistor to element, w którym owa właściwość została uwypuklona. Jest to możliwe po zastosowaniu odpowiednich materiałów. Co ciekawe, termistory mogą mieć rezystancję zmienną w dwie strony. Mamy trzy typy tych podzespołów:

  • PTC - Positive Temperature Coefficient - dodatni współczynnik temperaturowy
  • NTC - Negative Temperature Coefficient - ujemny współczynnik temperaturowy
  • CTR - Critical Temperature Resistor - zmiana rezystancji jest skokowa

Termistory PTC działają zatem “prawidłowo” - zwiększają swoją rezystancję, kiedy wzrasta ich temperatura. Termistory CTR również najczęściej zwiększają swoją rezystancję, więc są stosowane w szczególny sposób, o czym dalej. Istnieją też termistory CTR, których rezystancja gwałtownie maleje.

Natomiast termistory NTC płynnie zmniejszają rezystancję między swoimi wyprowadzeniami, kiedy ich temperatura rośnie. Jak to jest możliwe?

Zasada działania termistora NTC

Elementy przewidziane do pomiaru temperatury, które mają ujemny współczynnik temperaturowy, są wykonywane z mieszaniny tlenków odpowiednich metali, a mogą być również zrobione z półprzewodnika. Nie oznacza to natychmiast, że taki element nabiera właściwości półprzewodnikowych - aby mógł przewodzić prąd w jedną stronę, trzeba byłoby go odpowiednio domieszkować, po czym utworzyć złącze pn, co wcale nie jest proste.

Każdy półprzewodnik, w tym również dobrze nam znany krzem, wykazuje silną zależność rezystywności od temperatury. Kiedy temperatura jest niska, również energia elektronów wchodzących w skład struktury kryształu półprzewodnika jest mała. Elektrony są związane między atomami i nie ma wolnych, swobodnych nośników ładunków, które mogłyby przewodzić prąd.

Ale po podgrzaniu następuje samoistne rozpadanie się wiązań między atomami, budujących strukturę krystaliczną. Powstaje para elektron-dziura, czyli swobodne nośniki prądu elektrycznego. Mogą się przemieszczać w obrębie półprzewodnika.

To zjawisko nosi nazwę generacji termicznej. Im wyższa temperatura, tym intensywniej zachodzi, więc liczba wolnych nośników staje się większa. To zjawisko wykorzystują termistory NTC, ponieważ ze wzrostem temperatury spada ich rezystancja. Odpowiednie domieszkowanie półprzewodnika, czyli wprowadzenie do jego struktury dodatkowych, obcych atomów, również zmienia jego rezystywność i jej zależność od temperatury.

PTC i CTR

W termistorach PTC (inna nazwa: pozystor) mamy do czynienia ze wzrostem rezystancji pod wpływem temperatury. Producenci wykorzystają w tym celu tlenki różnych metali oraz bardziej złożone związki chemiczne, które umożliwiają uzyskanie żądanych parametrów.

Termistory CTR są zbudowane nieco inaczej. Są nimi, na przykład, dobrze znane bezpieczniki polimerowe. W ich strukturze znajdują się drobiny węgla połączone polimerową strukturą. Kiedy temperatura przekroczy próg krytyczny, struktura rozpada się i przepływ prądu jest znacznie utrudniony. Ostygnięcie takiego elementu powoduje spadek rezystancji do poprzedniej wartości. 

Aby zależność była odwrotna, czyli rezystancja malała ze wzrostem temperatury, używane są odpowiednie związki baru i ceramika.

Co z kierunkiem prądu?

Termistor jest rezystorem - o zmieniającej się rezystancji, ale jednak rezystorem - więc kierunek prądu nie ma dla niego znaczenia. To, że został wykonany z materiału będącego półprzewodnikiem, nie zmienia w tej materii absolutnie nic. Symbol termistora potwierdza, że ma on duży związek z rezystorem:

Zarówno kierunek, jak i rodzaj prądu (stały/zmienny/przemienny) jest obojętny. Ale moc wydzielana na termistorach już niekoniecznie. Jak każdy element, tak również termistory nagrzewają się, kiedy płynie przez nie prąd. W pewnych zastosowaniach to jest pożądane, a w innych bardzo nam przeszkadza.

Charakterystyki termistorów

Niestety, rzeczywistość nie jest idealna - nie mamy elementów, które liniowo zmieniałyby swoją rezystancję w funkcji temperatury. Zachodzące w przyrodzie procesy rzadko kiedy mają charakter liniowy, częściej można spotkać zależność wykładniczą. 

Termistory NTC zazwyczaj mają charakterystykę o przebiegu zbliżonym do wykładniczego. W przypadku PTC sprawa jest mniej oczywista. Natomiast termistory CTR  - na rysunku wartość rezystancji maleje z temperaturą - jest jeszcze trudniejszy do opisania matematycznym modelem.

Zastosowania termistorów

Każdy termistor ma swoje szczególne cechy, przez co lepiej stosuje się go w pewnych obszarach. Sprawdźmy, jakie są ich zastosowania.

NTC - do pomiarów

Termistory NTC ze względny na “ładny”, gładki przebieg charakterystyki rezystancji w funkcji temperatury, są często stosowane w roli elementów pomiarowych. Układ elektroniczny mierzy rezystancję i na podstawie odpowiednich tabel lub wzorów przelicza uzyskaną wartość na temperaturę. Ich rezystancja może zmieniać się w naprawdę szerokim zakresie.

Ten rodzaj termistorów jest również często spotykany w urządzeniach, które reagują jedynie na określoną wartość temperatury, czyli we wszelkiego rodzaju termostatach. Termistory NTC są wykonywane z małym rozrzutem parametrów - typowo 5% lub mniej.

Te termistory mają zazwyczaj małe gabaryty, aby możliwie szybko reagowały na zmiany temperatury. Najmniejsze z nich mają rozmiary porównywalne z łebkiem szpilki.

NTC - do rozruchu

Ten rodzaj termistorów również może służyć do nie tylko pomiaru temperatury, ale również do ograniczenia prądu rozruchu różnych urządzeń: zasilaczy, transformatorów czy silników. Wystarczy, że taki termistor zostanie włączony w szereg z przewodem zasilającym.

Po włączeniu urządzenia do zasilania, płynący prąd rozruchowy jest ograniczony przez relatywnie wysoką rezystancję termistora. To rozgrzewa strukturę takiego elementu, przez co jego rezystancja maleje i rośnie prąd płynący przez urządzenie. Po niedługim czasie, kiedy termistor nagrzeje się, sytuacja ulega unormowaniu i nie wprowadza on znaczącego spadku napięcia podczas normalnej pracy urządzenia.

Rozruchowe termistory NTC często ulegają awarii z powodu przegrzania, kiedy w zabezpieczonym obwodzie dojdzie do zwarcia. Ich rezystancja maleje wówczas silnie, ale nie na tyle, aby moc wydzielana w samym termistorze była niższa od maksymalnej. Długotrwałe przegrzanie powoduje przepalenie tego elementu, co wiąże się z koniecznością jego wymiany.

PTC - do zabezpieczeń

Termistory PTC są używane głównie w układach automatyki, do zabezpieczania obwodów przed przegrzaniem i przeciążeniem. 

CTR - głównie do ochrony

Bezpieczniki polimerowe są jednym z elementów rodziny termistorów CTR, ale z pewnością jest to grupa najliczniejsza. Tego typu bezpieczniki “naprawiają się same”, w przeciwieństwie do bezpieczników topikowych, które mogą zadziałać tylko raz. Funkcjonują podobnie do termistorów PTC, ale zmiana rezystancji jest znacznie większa.

Liczba cykli włącz/wyłącz takich bezpieczników jest ograniczona. Z reguły, po kilkunastu lub kilkudziesięciu zadziałaniach, trwały wzrost ich rezystancji staje się odczuwalny, więc maleje również prąd zadziałania. Wadliwy element trzeba wtedy wymienić.

Jakie są parametry termistorów?

Termistory NTC i PTC cechują się rezystancją w znormalizowanej temperaturze 25℃, którą producenci podają w omach [Ω] lub kiloomach [kΩ]. Ten parametr określa nominalną rezystancję, która dalej ulega zmianom. Dla obu termistorów istotna jest również dopuszczalna moc, która nie spowoduje ich przegrzania.

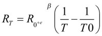
Ponadto, termistory NTC charakteryzują się również współczynnikiem B. Na jego podstawie można odtworzyć przebieg hiperboli zgodnie ze wzorem:

Współczynnik B (lub beta β) podawany jest w kelwinach [K]. Wraz z rezystancją R0 (oznaczaną często symbolem R25℃) umożliwia uzyskanie pełnej informacji o wartości rezystancji termistora dla konkretnej temperatury. T0 to temperatura odniesienia w kelwinach [K], a T to temperatura aktualna, również w kelwinach. 

Dla termistorów NTC przeznaczonych do pomiaru temperatury, producenci podają również maksymalne natężenie prądu (lub maksymalne napięcie zasilania), który nie będzie powodował nadmiernego podgrzewania ich struktury. Jeżeli element “grzeje się sam”, wyniki pomiarów prowadzonych za jego pośrednictwem są zaburzone.

Identyfikacja

Niestety, żadna z tych informacji nie jest podana na obudowie. O ile termistory PTC czy rozruchowe NTC są z reguły dosyć duże i można z nich coś odczytać, o tyle maleńkie termistory pomiarowe NTC nie mają na sobie zupełnie żadnych napisów. 

Jeżeli chcemy wiedzieć, jakie są parametry nieznanego elementu, trzeba wykonać kilka pomiarów jego rezystancji: w temperaturze 25℃ (lub możliwie zbliżonej), co da wartość R25℃ oraz wyższej, a najlepiej również w niższej. Mając te punkty pomiarowe można je porównać z tabelami, które producenci tych elementów zamieszczają w swoich notach katalogowych. 

Należy przy tym pamiętać, że zarówno sam termistor ma pewne rozrzuty produkcyjne, jak i wynik pomiaru jest obarczony pewnym błędem. Dlatego do poszukiwań odpowiedniego współczynnika B należy podchodzić z pewną tolerancją.

Podsumowanie

Termistory są elementami, których rezystancja zależy od temperatury. Przebieg tej zależności kształtuje zastosowanie danego elementu: pomiarowe lub ochronne.

1. Repetytorium użytkowej elektroniki 2. Repetytorium użytkowej elektroniki - Oświetlenie LED pod szafkami 3. Repetytorium użytkowej elektroniki - Oświetlenie do piwnicy 4. Repetytorium użytkowej elektroniki - Sygnalizator zalania 5. Repetytorium użytkowej elektroniki - Zasilacz do układu audio 6. Repetytorium użytkowej elektroniki - Zasilacz warsztatowy 7. Jaką wkrętarkę wybrać? Na co zwrócić uwagę przy zakupie? 8. Rodzaje tranzystorów bipolarnych i unipolarnych 9. Jak podłączyć taśmy LED 10. Inteligentny dom - wszystko co powinieneś wiedzieć o systemach SMART HOME 11. Jak podłączyć prostownik do akumulatora (ładowanie) 12. Drukarki 3D - budowa i zasada działania 13. Jak prawidłowo zarobić kabel antenowy? 14. Jaki czujnik czadu wybrać i gdzie najlepiej zamontować? 15. Programowanie mikrokontrolerów - o czym należy wiedzieć na początek? 16. Oscyloskop cyfrowy - jaki wybrać? 17. Co to jest barometr i jak działa? 18. Jaki wykrywacz metali kupić? Na co zwracać uwagę przy wyborze? 19. Jak działa sieć 5G i jakie daje możliwości? 20. Diody LED - napięcie diod o różnych kolorach 21. Jaki kompresor samochodowy kupić? 22. Czujniki parkowania - jakie wybrać? 23. Jak ustawić antenę do odbioru naziemnej TV DVB-T? 24. Co to jest rezystor (opornik) i jak działa? 25. Jakie są typy i rodzaje bezpieczników? 26. Co to jest układ scalony i jak działa? 27. Jak zmierzyć napięcie akumulatora miernikiem? 28. Jak zarobić kabel sieciowy RJ-45? 29. Lutowanie - jak lutować kable poprawnie? 30. Arduino - co to jest i jak zacząć? 31. Raspberry pi - co to jest, do czego służy, jak zacząć? 32. Do czego służą kondensatory - zasada działania 33. Co to jest bezpiecznik i jak działa? 34. Jak dobrać i wymienić bezpiecznik? 35. Rodzaje kondensatorów, ich oznaczenia i budowa 36. Kalafonia - co to jest? do czego służy? jak używać? 37. Przewodniki prądu - co przewodzi prąd, a co nie? 38. Jaka latarka czołowa sprawdzi się najlepiej? 39. Jak działa płytka stykowa (prototypowa)? 40. Jakie ogniwa 18650 wybrać i gdzie kupić akumulatorki? 41. Jaki powerbank wybrać? Czym kierować się przy kupnie? 42. Raspberry Pi czy Arduino? Co wybrać? 43. Pierwsze Prawo Kirchhoffa - przepływ prądu w obwodzie elektrycznym 44. Rezonator kwarcowy - schemat, oznaczenia i zastosowanie 45. Drugie Prawo Kirchhoffa - bilans spadku napięć w zamkniętym obwodzie elektrycznym 46. Do czego służy przedwzmacniacz? 47. Wzmacniacze audio - schematy i działanie 48. Co to jest kinematyka? Wzory kinematyki 49. Jaka ładowarka samochodowa będzie najlepsza? 50. Woltomierz - jak podłączyć i do czego służy? 51. Zasilacz laboratoryjny - jaki wybrać, do czego służy i jak użytkować? 52. Jaki magnes neodymowy kupić? 53. Jaki dron wybrać na początek, na co zwrócić uwagę przy kupnie? 54. Jaki filament wybrać - rodzaje filamentów do drukarek 3d 55. Co to jest termistor - zasada działania, jak dobierać? 56. Lokalizator GPS do samochodu - gdzie i jak zamontować? 57. Transmiter samochodowy - jak działa? 58. Jak działa ładowarka indukcyjna i jak nią ładować? 59. Jaki oczyszczacz powietrza wybrać? 60. Silniki prądu stałego - budowa, zastosowanie i zasada działania 61. Co to jest triak - jak go sprawdzić i jak działa? 62. Co to jest tranzystor MOSFET - jak działa, jak sprawdzać? 63. Izopropanol - do czego służy i gdzie kupić? 64. Co to jest tranzystor, jak działa i za co odpowiada? 65. Co to jest Transformator i jak działa? 66. Potencjometr obrotowy - schemat, podłączenie i zasada działania 67. Fotorezystor - charakterystyka, zastosowanie i zasada działania 68. Jak dobrać rezystor do diody? 69. Co to jest Tyrystor i do czego służy? 70. Jakie kable rozruchowe wybrać do samochodu? 71. Jaki miernik grubości lakieru kupić? 72. Pomiar jakości powietrza - jak sprawdzić jakość powietrza w domu i na zewnątrz? 73. Języki programowania sterowników PLC 74. Czym jest napięcie i natężenie prądu? 75. Reguła prawej dłoni, czyli ruch przewodnika w polu magnetycznym 76. Co to jest Bluetooth i jak działa? 77. Co to jest silnik krokowy - zasada działania i przeznaczenie 78. Jaką stację pogodową wybrać? Odpowiadamy czym kierować się przy kupnie 79. Jak działa przekaźnik? 80. Sterowniki PLC co to jest? Jakie jest ich zastosowanie i budowa? 81. Radiator i wentylator - czym są i jak działają? 82. Antena samochodowa - jaką wybrać? 83. Podłączenie czujnika ruchu 84. Czujnik ruchu - zasada działania 85. Wszelakie zastosowanie druku 3D - ogromny potencjał 86. Jaką drukarkę 3D kupić? - na co zwracać uwagę przy wyborze 87. Czyszczenie elektroniki - czym czyścić sprzęt elektroniczny? 88. Wytrawianie płytek drukowanych (PCB) - wszystko co powinieneś wiedzieć! 89. Jak sprawdzić tyrystor - opis jego działania 90. Transoptory - zastosowanie i zasada działania 91. Jak działa stabilizator napięcia i do czego służy? 92. Jak wymienić bezpiecznik w samochodzie? 93. Rodzaje regulatorów napięcia 94. Dioda prostownicza - charakterystyka, oznaczenia, budowa 95. Jaki wzmacniacz dźwięku wybrać? 96. Bramki logiczne - symbole i zastosowanie 97. Jakie przewody (kable) do głośników dobrać? 98. Do czego służy myjka ultradźwiękowa oraz zasada działania. Czego nie można myć? 99. Oscyloskop - co to jest i do czego służy? 100. Rodzaje czujników ruchu
Rozwiń cały spis treści Zwiń spis treści
Firma:
Tematyka materiału: Termistor, CTR, PTC, NTC
AUTOR
Udostępnij
Zobacz wszystkie quizy
Quiz weekendowy
Poziomy logiczne
1/10 Jakie rodziny układów logicznych są najczęściej stosowane współcześnie?
Oceń najnowsze wydanie EdW
Wypełnij ankietę i odbierz prezent
UK Logo
Elektronika dla Wszystkich
Zapisując się na nasz newsletter możesz otrzymać GRATIS
najnowsze e-wydanie magazynu "Elektronika dla Wszystkich"