Serwisy partnerskie:
Close icon
Serwisy partnerskie

Repetytorium użytkowej elektroniki - Oświetlenie LED pod szafkami

Article Image
Elportal jest źródłem wiedzy dla profesjonalnych elektroników śledzących rozwój elektroniki w swojej specjalizacji. Jeśli jednak odczuwasz potrzebę przypomnienia sobie szerokiego spektrum zagadnień elektroniki użytkowej, to dla Ciebie jest to Repetytorium. W tym kursie znajdą również przystępnie podaną wiedzę programiści nieelektronicy odwiedzający Elportal w poszukiwaniu inspiracji projektowych.
Ciemno w kuchni?
Czy pojedyncza lampa nie wystarcza?
A może ładna witrynka w salonie stoi w ciemnym kącie?
Nie trzeba wiele wysiłku, aby to zmienić!
Light icon
1. Repetytorium użytkowej elektroniki 2. Repetytorium użytkowej elektroniki - Oświetlenie LED pod szafkami 3. Repetytorium użytkowej elektroniki - Oświetlenie do piwnicy 4. Repetytorium użytkowej elektroniki - Sygnalizator zalania 5. Repetytorium użytkowej elektroniki - Zasilacz do układu audio 6. Repetytorium użytkowej elektroniki - Zasilacz warsztatowy 7. Jaką wkrętarkę wybrać? Na co zwrócić uwagę przy zakupie? 8. Rodzaje tranzystorów bipolarnych i unipolarnych 9. Jak podłączyć taśmy LED 10. Inteligentny dom - wszystko co powinieneś wiedzieć o systemach SMART HOME 11. Jak podłączyć prostownik do akumulatora (ładowanie) 12. Drukarki 3D - budowa i zasada działania 13. Jak prawidłowo zarobić kabel antenowy? 14. Jaki czujnik czadu wybrać i gdzie najlepiej zamontować? 15. Programowanie mikrokontrolerów - o czym należy wiedzieć na początek? 16. Oscyloskop cyfrowy - jaki wybrać? 17. Co to jest barometr i jak działa? 18. Jaki wykrywacz metali kupić? Na co zwracać uwagę przy wyborze? 19. Jak działa sieć 5G i jakie daje możliwości? 20. Diody LED - napięcie diod o różnych kolorach 21. Jaki kompresor samochodowy kupić? 22. Czujniki parkowania - jakie wybrać? 23. Jak ustawić antenę do odbioru naziemnej TV DVB-T? 24. Co to jest rezystor (opornik) i jak działa? 25. Jakie są typy i rodzaje bezpieczników? 26. Co to jest układ scalony i jak działa? 27. Jak zmierzyć napięcie akumulatora miernikiem? 28. Jak zarobić kabel sieciowy RJ-45? 29. Lutowanie - jak lutować kable poprawnie? 30. Arduino - co to jest i jak zacząć? 31. Raspberry pi - co to jest, do czego służy, jak zacząć? 32. Do czego służą kondensatory - zasada działania 33. Co to jest bezpiecznik i jak działa? 34. Jak dobrać i wymienić bezpiecznik? 35. Rodzaje kondensatorów, ich oznaczenia i budowa 36. Kalafonia - co to jest? do czego służy? jak używać? 37. Przewodniki prądu - co przewodzi prąd, a co nie? 38. Jaka latarka czołowa sprawdzi się najlepiej? 39. Jak działa płytka stykowa (prototypowa)? 40. Jakie ogniwa 18650 wybrać i gdzie kupić akumulatorki? 41. Jaki powerbank wybrać? Czym kierować się przy kupnie? 42. Raspberry Pi czy Arduino? Co wybrać? 43. Pierwsze Prawo Kirchhoffa - przepływ prądu w obwodzie elektrycznym 44. Rezonator kwarcowy - schemat, oznaczenia i zastosowanie 45. Drugie Prawo Kirchhoffa - bilans spadku napięć w zamkniętym obwodzie elektrycznym 46. Do czego służy przedwzmacniacz? 47. Wzmacniacze audio - schematy i działanie 48. Co to jest kinematyka? Wzory kinematyki 49. Jaka ładowarka samochodowa będzie najlepsza? 50. Woltomierz - jak podłączyć i do czego służy? 51. Zasilacz laboratoryjny - jaki wybrać, do czego służy i jak użytkować? 52. Jaki magnes neodymowy kupić? 53. Jaki dron wybrać na początek, na co zwrócić uwagę przy kupnie? 54. Jaki filament wybrać - rodzaje filamentów do drukarek 3d 55. Co to jest termistor - zasada działania, jak dobierać? 56. Lokalizator GPS do samochodu - gdzie i jak zamontować? 57. Transmiter samochodowy - jak działa? 58. Jak działa ładowarka indukcyjna i jak nią ładować? 59. Jaki oczyszczacz powietrza wybrać? 60. Silniki prądu stałego - budowa, zastosowanie i zasada działania 61. Co to jest triak - jak go sprawdzić i jak działa? 62. Co to jest tranzystor MOSFET - jak działa, jak sprawdzać? 63. Izopropanol - do czego służy i gdzie kupić? 64. Co to jest tranzystor, jak działa i za co odpowiada? 65. Co to jest Transformator i jak działa? 66. Potencjometr obrotowy - schemat, podłączenie i zasada działania 67. Fotorezystor - charakterystyka, zastosowanie i zasada działania 68. Jak dobrać rezystor do diody? 69. Co to jest Tyrystor i do czego służy? 70. Jakie kable rozruchowe wybrać do samochodu? 71. Jaki miernik grubości lakieru kupić? 72. Pomiar jakości powietrza - jak sprawdzić jakość powietrza w domu i na zewnątrz? 73. Języki programowania sterowników PLC 74. Czym jest napięcie i natężenie prądu? 75. Reguła prawej dłoni, czyli ruch przewodnika w polu magnetycznym 76. Co to jest Bluetooth i jak działa? 77. Co to jest silnik krokowy - zasada działania i przeznaczenie 78. Jaką stację pogodową wybrać? Odpowiadamy czym kierować się przy kupnie 79. Jak działa przekaźnik? 80. Sterowniki PLC co to jest? Jakie jest ich zastosowanie i budowa? 81. Radiator i wentylator - czym są i jak działają? 82. Antena samochodowa - jaką wybrać? 83. Podłączenie czujnika ruchu 84. Czujnik ruchu - zasada działania 85. Wszelakie zastosowanie druku 3D - ogromny potencjał 86. Jaką drukarkę 3D kupić? - na co zwracać uwagę przy wyborze 87. Czyszczenie elektroniki - czym czyścić sprzęt elektroniczny? 88. Wytrawianie płytek drukowanych (PCB) - wszystko co powinieneś wiedzieć! 89. Jak sprawdzić tyrystor - opis jego działania 90. Transoptory - zastosowanie i zasada działania 91. Jak działa stabilizator napięcia i do czego służy? 92. Jak wymienić bezpiecznik w samochodzie? 93. Rodzaje regulatorów napięcia 94. Dioda prostownicza - charakterystyka, oznaczenia, budowa 95. Jaki wzmacniacz dźwięku wybrać? 96. Bramki logiczne - symbole i zastosowanie 97. Jakie przewody (kable) do głośników dobrać? 98. Do czego służy myjka ultradźwiękowa oraz zasada działania. Czego nie można myć? 99. Oscyloskop - co to jest i do czego służy? 100. Rodzaje czujników ruchu
Rozwiń cały spis treści Zwiń spis treści

Kuchnia to miejsce, w którym jakość oświetlenia jest kluczowa dla wygody i bezpieczeństwa. Miejsca, w których operuje się ostrymi nożami lub gorącymi garnkami, nie powinny być zaciemnione, gdyż wtedy łatwo o wypadek. Czasem sam kinkiet lub lampa na suficie nie wystarcza. Trzeba wówczas pomyśleć o dodatkowym źródle światła, umieszczonym np. pod szafkami wiszącymi.

W dzisiejszych czasach nie muszą to być żarówki czy lampy fluorescencyjne, zwane potocznie świetlówkami. W sprzedaży są dostępne taśmy zawierające diody LED, które znakomicie nadają się do tego typu zadań. Duża liczba niewielkich diod zapewnia równomierne rozproszenie światła. Szeroka gama emitowanych barw światła oraz duża liczba diod na metr taśmy (im więcej, tym jaśniej) powodują, że można dobrać taśmę zgodnie z naszymi preferencjami. Same diody LED na taśmach też mają różne rozmiary, co ma wpływ na jasność świecenia.

Taśma LED może być cięta na odcinki i łączona przewodami w celu doprowadzenia do niej zasilania. Można ją rozcinać zwykłymi nożyczkami wzdłuż zaznaczonych miejsc. Zazwyczaj wypadają one co 5 cm, ponieważ taka jest długość każdego „samodzielnego” segmentu. Między nimi są połączenia wykonane z folii miedzianej, do której, po przecięciu taśmy, można przylutować przewód lub wcisnąć odpowiednią złączkę.

Takie rozwiązanie ma jeszcze jedną zaletę: tego typu taśmy są zasilanie niskim napięciem, z reguły 12 V prądu stałego. Dzięki temu ich zamocowanie w pobliżu miejsc, które można zachlapać wodą, nie niesie ryzyka porażenia. Napięcie o tej wartości możemy pozyskać, na przykład, z odpowiedniego zasilacza. Jego zadaniem jest konwersja napięcia sieciowego na takie, którego potrzebujemy w danym zastosowaniu.

Przykładowy zasilacz 12 V do taśm LED
Zobacz w sklepie avt

Dodatkowo, niektóre taśmy są wodoszczelne, czyli producent zalał je w silikonie. Nie tłumi on światła, za to zabezpiecza elementy na taśmie przed zgubnym wpływem wody. Elektronika i woda nie są dobrym połączeniem, ponieważ woda powoduje korozję metalowych części elementów elektronicznych, a przez to ich uszkodzenia.

Taśma LED w silikonie

Montaż taśmy odbywa się dziecinnie łatwo. Wystarczy odkleić ochronny papier, jaki znajduje się na jej spodzie. Samą taśmę dociska się wtedy do odtłuszczonej i suchej powierzchni, a warstwa samoprzylepna zrobi za nas resztę. Dla poprawy wyglądu i zapewnienia jej dodatkowej ochrony przed uderzeniami można ją zamontować wewnątrz ozdobnego profilu z plastikową osłoną. Ponadto, profil wykonany z aluminium będzie lepiej odprowadzał ciepło z diod, co wydłuży ich żywotność.

Zanim kupimy taśmę, trzeba odpowiedzieć sobie na kilka pytań:

  • jaka barwa światła będzie dla mnie odpowiednia?
  • jakiej liczby diod na metr taśmy potrzebuję?
  • jaka jest żądana długość podświetlenia?
  • w jaki sposób będzie zamontowana taśma?

Mierząc szafki lub inne obiekty, na które ma być naklejona taśma, należy wziąć pod uwagę miejsca jej podziału oraz konieczność doprowadzenia do niej zasilania. 

Przykład: w kuchni znajdują się dwa rzędy szafek wiszących. Jeden z nich ma długość 2 m, a drugi 1,4 m. Taśmy LED powinny znajdować się na całej ich długości. Po krótkiej naradzie zdecydowano się na diody świecące w kolorze białym naturalnym (albo neutralnym) jako najlepiej pasujące do miejsca pracy. Diody mają być w rozmiarze SMD5050, zalane w silikonie, a ich liczba na metr ma wynosić 60, aby świeciły dostatecznie jasno. Zostaną naklejone wprost na szafki, bez profili.

W ofercie AVT można znaleźć taką taśmę
Zobacz w sklepie avt

Potrzebne jest 2 m + 1,4 m = 3,4 m taśmy, czyli trzeba kupić jej 3,5 m, ponieważ jest sprzedawana w odcinkach po 0,5 m. Z opisu taśmy możemy dowiedzieć się, że:

  • jej napięcie zasilania wynosi 12 V,
  • pobór mocy to 7,2 W/0,5 m taśmy,
  • można ją ciąć co 5 cm.

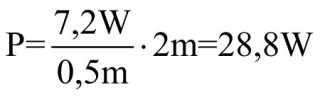
Taśmy o takiej długości będą miały określone zapotrzebowanie na moc, co wiąże się z koniecznością doboru odpowiedniego zasilacza. Napięcie 230 V, jakie znajduje się w gniazdku, musi zostać „zamienione” na niższe, bezpieczne zarówno dla diod, jak i ludzi. Obliczmy wymaganą moc, jaka ma zostać dostarczona do diod:

Odpowiedni zasilacz musi oddać moc większą od tej, jaką pobiorą diody. Nie ma obawy, że dostarczy jej przy tym „za dużo”. Jeżeli jego napięcie wyjściowe będzie odpowiednie, to taśma LED pobierze tyle mocy, ile potrzebuje. Nie ma więc znaczenia, czy zasilacz będzie miał moc 80 W, 100 W, czy 500 W, ponieważ o pobieranej z niego mocy decyduje samo obciążenie. 

Jednak nie ma sensu stosowanie zasilacza o mocy zbyt wysokiej, ponieważ będzie miał duże gabaryty oraz wyższą cenę, a jego możliwości pozostaną niewykorzystane. Wybór zasilacza o mocy 60 W w wodoszczelnej obudowie będzie odpowiedni.

Zasilacz impulsowy 12V 5A wodoodporny IP67 60W
Zobacz w sklepie avt

 

Mamy wybraną taśmę, mamy zasilacz - czas pomyśleć o przewodach, które to połączą. Trzeba poprowadzić dwa napięcia:

  • 230 V do zasilacza (na przykład z gniazdka), 
  • 12 V do dwóch odcinków taśm LED. 

Najlepiej, aby jedna taśma była zasilana przez jeden przewód, ponieważ znajdująca się na nich miedziana folia wprowadza zauważalne straty napięcia, jeżeli jest odpowiednio długa. Z tego względu nie proponuję takiego połączenia.

Rysunek 1. Połączenie nieprawidłowe

Czyli zasilając drugą taśmę z końca pierwszej. Druga taśma, znajdująca się dalej od zasilacza, może świecić ciemniej. Wolimy, aby diody LED świeciły równomiernie, nawet kosztem większej długości potrzebnych przewodów.

Rysunek 2. Połączenie prawidłowe

Jeżeli konieczny jest bardzo długi odcinek taśmy, warto zasilać tę taśmę poprzez doprowadzenie przewodów do obu jej końców. Wtedy nie będzie świeciła na jednym końcu ciemniej, a na drugim jaśniej, ponieważ zasilana będzie z obu stron napięciem o podobnej wartości. Można to zrobić w taki sposób:

Rysunek 3. Podłączenie taśmy z obu stron

Przyjmijmy, że nasze odcinki można uznać za wystarczająco długie, więc oba zostaną podłączone z obu stron. Po znalezieniu odpowiedniego miejsca na ukrycie zasilacza, konieczne długości przewodów wyglądają następująco:

Rysunek 4. Długości przewodów i taśm LED

Do podłączenia wysokonapięciowej strony zasilacza należy użyć przewodu przystosowanego do tego napięcia. Od wytrzymałości izolacji zależy, czy ktoś nie zostanie przypadkowo porażony! Może być przewidziana do wyższego napięcia, to w niczym nie przeszkadza. Najlepiej, aby izolacja była podwójna – taki przewód lepiej wytrzyma ewentualne uszkodzenia mechaniczne.

Przewód w podwójnej izolacji
Zobacz w sklepie avt

Giętkie przewody (tzw. linki) w podwójnej izolacji noszą oznaczenie OMY (okrągłe) lub OMYp (płaskie). Z kolei, przewody sztywne (tzw. drut) można znaleźć pod oznaczeniami YDY (okrągłe) lub YDYp (płaskie). Jeżeli nasza instalacja będzie podłączana wtyczką, lepiej wybrać przewód giętki. Przewód sztywny będzie lepszym wyborem, kiedy zostanie zakotwiczony na sztywno pod tynkiem lub na powierzchni ściany i nie będzie poruszany.

Przekrój poprzeczny żyły (podawany w milimetrach kwadratowych [mm2]) warunkuje moc, jaka może być pobierana przez urządzenie podłączone danym przewodem. Dla przewodów o przekroju 0,5 mm2 maksymalny prąd wynosi prawie 9,5 A, a dla 0,75 mm2 jest to ponad 12 A (obliczono przy użyciu: https://lumier.pl/kalkulator/).

Wiedząc, że nasz zasilacz sieciowy będzie pobierał z sieci moc niewiele większą niż ta, której potrzebuje zasilana z niego taśma LED, można oszacować prąd płynący z sieci 230 V:

Oznacza to, że przewód w podwójnej izolacji, o przekroju poprzecznym żyły 0,5 mm2, będzie wystarczający do podłączenia tego zasilacza do sieci. Można użyć przewodu o grubszych żyłach, natomiast cieńsze są rzadko spotykane w handlu detalicznym.

Nieco inaczej sprawa wygląda z podłączeniem taśmy LED do niskonapięciowej strony zasilacza. Taki przewód z dwiema żyłami nie musi mieć podwójnej izolacji – chociaż, oczywiście, nie będzie ona w niczym przeszkadzała – za to powinien mieć żyły w izolacji w odpowiednich kolorach:

  • czerwony: biegun dodatni, zwany plusem, oznaczenie +
  • czarny: biegun ujemny, zwany minusem, oznaczenie

Niektóre przewody mają biały lub czerwony pasek naniesiony na izolację jednej z żył, który również jest wystarczający do rozróżnienia tych biegunów.

Przewód w pojedynczej izolacji
Zobacz w sklepie avt

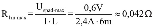
Nie ma jednoznacznych wymagań co do tego, jaki powinien być przekrój poprzeczny przewodów zasilających taśmy LED. Im większy przekrój, tym mniejsza rezystancja, więc mniejsze będą straty napięcia i bardziej równomiernie będą świecić taśmy. Niestety, wiąże się to z większą ceną takiego przewodu oraz trudnością w jego układaniu. Dlatego proponuję przyjąć dopuszczalny spadek napięcia o wartości np. 5% napięcia zasilającego i na tej podstawie dobrać minimalny przekrój przewodów:

Spadek napięcia będzie tym większy, im większy będzie płynący przez ten przewód prąd i im większa będzie jego długość. Aby nie kupować mnóstwa różnych przewodów, skupmy się na najbardziej wymagającym fragmencie obwodu – dobranie przewodu pod niego spowoduje, że wszystkie pozostałe będą zasilane prawidłowo.

W naszym przykładzie można za taki uznać odcinek łączący zasilacz z taśmą LED o długości 2 m. Ten przewód ma mieć długość L = 6 m i płynąć będzie przez niego większy prąd niż przez przewód zasilający taśmę o długości 1,4 m. Dłuższa taśma zawiera proporcjonalnie większą liczbę diod. 

Taśma o długości 2 m będzie pobierała moc P równą:

Wiemy, że jest zasilana napięciem 12V, więc można obliczyć natężenie pobieranego przez nią prądu I:

Na podstawie przytoczonego wyżej kalkulatora wykonano tabelę, która zawiera rezystancję dwużyłowego przewodu o długości 1 m i określonym przekroju poprzecznym:

Opis

Wystarczy użyć odpowiednio przekształconego prawa Ohma, aby obliczyć maksymalną rezystancję przewodu dla danej długości i pobieranego prądu:

Takie wymagania spełni przewód o przekroju poprzecznym żyły wynoszącym 1 mm2, ponieważ jego rezystancja na 1 m jest mniejsza od obliczonej. Można kupić przewód o większym przekroju, powyższe obliczenia pozwalają na oszacowanie minimalnego pola przekroju poprzecznego.

Czy do drugiej taśmy użyć takiego samego przewodu, czy cieńszego? To zależy. Prościej jest kupić jeden grubszy i pociąć na kawałki o odpowiedniej długości. Jeżeli zaś różnica w przekroju miałaby być znacząca (np. następne odcinki taśmy LED są znacznie krótsze) na tyle, że opłaca się kupić dwa różne przewody, można tak zrobić.

Jeżeli zdecydujemy się na kupno jednego rodzaju przewodu, trzeba go będzie pociąć na cztery kawałki:

  • od zasilacza do taśmy o długości 2 m: 6 m
  • między końcami taśmy o długości 2 m: 2 m
  • od zasilacza do taśmy o długości 1,4 m: 3 m
  • między końcami taśmy o długości 1,4 m: 1,4 m

Razem daje to 6 m + 2 m + 3 m + 1,4 m = 12,4 m przewodu dwużyłowego w pojedynczej izolacji o przekroju poprzecznym każdej z miedzianych żył 0,75 mm2. Warto kupić nieco więcej przewodu (polecam naddatek rzędu 5…10%), aby na pewno go nie zabrakło podczas prowadzenia po pomieszczeniu.

W handlu dostępne są przewody z oznaczeniem CCA, które wyglądają jak miedziane. Tak naprawdę są wykonane z aluminium pokrytego warstwą miedzi. Można je stosować do łączenia taśm LED, ale ich rezystancja jest wyższa od miedzianych. Wymagane przekroje poprzeczne ich żył będą większe. Trzeba to mieć na uwadze i sięgnąć do odpowiednich tabel, dokonując obliczeń.

Pamiętajmy, że montaż może być bardzo prosty – nie jest potrzebna nawet lutownica, jeżeli posłużymy się tego typu złączami do taśm LED:

Złącze do taśm LED 10mm, SMD5050, 2 piny
Zobacz w sklepie avt

oraz kostkami elektrycznymi, na przykład z gotową obudową:

Kostka elektryczna 3 pin, raster 8mm, 450V/8A w obudowie
Zobacz w sklepie avt

lub bez niej, wystarczy ją porozcinać na fragmenty o żądanej długości:

Kostka elektryczna 12, raster 8.2mm, 450V/15A PA66
Zobacz w sklepie avt

Na zakończenie, warto dodać kilka informacji o możliwości rozbudowy naszego systemu oświetleniowego. Możemy płynnie regulować jego jasność, zależnie od naszych potrzeb:

Regulator jasności taśm LED, AVT1800
Zobacz w sklepie avt

Wieczorem taśmy LED można przyciemnić, aby nie drażniły wzroku zmęczonego po całym dniu. Z kolei, w ciągu dnia jasność może być większa, co pomoże w codziennych obowiązkach. Ponadto, można taką taśmę LED wyposażyć również w układ powolnego jej rozjaśniania:

Powolny rozjaśniacz do taśm LED 12V, AVT1975
Zobacz w sklepie avt

Dzięki niemu, po włączeniu zasilania jasność będzie narastała powoli, przez kilka–kilkanaście sekund. Może to być cenne w pomieszczeniach służących do wypoczynku, na przykład w salonie. Lecz sterownik taśmy LED może mieć więcej funkcji, na przykład cyklicznego przyciemniania i rozjaśniania taśmy:

Miniaturowy sterownik taśmy LED, AVT1847
Zobacz w sklepie avt

Pod jednym przyciskiem kryje się możliwość wyboru jednego z 10 programów. Podświetlenie szklanej witrynki nie musi być nudne, prawda?

Podsumowanie

Wykonanie oświetlenia metodą gotowych taśm z diodami LED to łatwy i niedrogi sposób na urozmaicenie naszej przestrzeni. Wybór rodzajów taśm jest teraz ogromny, więc do każdego zastosowania można znaleźć coś odpowiedniego. Pamiętajmy o prawidłowym doborze zasilacza oraz przewodów, ponieważ to od nich zależy bezpieczna i satysfakcjonująca eksploatacja naszego systemu oświetleniowego.

1. Repetytorium użytkowej elektroniki 2. Repetytorium użytkowej elektroniki - Oświetlenie LED pod szafkami 3. Repetytorium użytkowej elektroniki - Oświetlenie do piwnicy 4. Repetytorium użytkowej elektroniki - Sygnalizator zalania 5. Repetytorium użytkowej elektroniki - Zasilacz do układu audio 6. Repetytorium użytkowej elektroniki - Zasilacz warsztatowy 7. Jaką wkrętarkę wybrać? Na co zwrócić uwagę przy zakupie? 8. Rodzaje tranzystorów bipolarnych i unipolarnych 9. Jak podłączyć taśmy LED 10. Inteligentny dom - wszystko co powinieneś wiedzieć o systemach SMART HOME 11. Jak podłączyć prostownik do akumulatora (ładowanie) 12. Drukarki 3D - budowa i zasada działania 13. Jak prawidłowo zarobić kabel antenowy? 14. Jaki czujnik czadu wybrać i gdzie najlepiej zamontować? 15. Programowanie mikrokontrolerów - o czym należy wiedzieć na początek? 16. Oscyloskop cyfrowy - jaki wybrać? 17. Co to jest barometr i jak działa? 18. Jaki wykrywacz metali kupić? Na co zwracać uwagę przy wyborze? 19. Jak działa sieć 5G i jakie daje możliwości? 20. Diody LED - napięcie diod o różnych kolorach 21. Jaki kompresor samochodowy kupić? 22. Czujniki parkowania - jakie wybrać? 23. Jak ustawić antenę do odbioru naziemnej TV DVB-T? 24. Co to jest rezystor (opornik) i jak działa? 25. Jakie są typy i rodzaje bezpieczników? 26. Co to jest układ scalony i jak działa? 27. Jak zmierzyć napięcie akumulatora miernikiem? 28. Jak zarobić kabel sieciowy RJ-45? 29. Lutowanie - jak lutować kable poprawnie? 30. Arduino - co to jest i jak zacząć? 31. Raspberry pi - co to jest, do czego służy, jak zacząć? 32. Do czego służą kondensatory - zasada działania 33. Co to jest bezpiecznik i jak działa? 34. Jak dobrać i wymienić bezpiecznik? 35. Rodzaje kondensatorów, ich oznaczenia i budowa 36. Kalafonia - co to jest? do czego służy? jak używać? 37. Przewodniki prądu - co przewodzi prąd, a co nie? 38. Jaka latarka czołowa sprawdzi się najlepiej? 39. Jak działa płytka stykowa (prototypowa)? 40. Jakie ogniwa 18650 wybrać i gdzie kupić akumulatorki? 41. Jaki powerbank wybrać? Czym kierować się przy kupnie? 42. Raspberry Pi czy Arduino? Co wybrać? 43. Pierwsze Prawo Kirchhoffa - przepływ prądu w obwodzie elektrycznym 44. Rezonator kwarcowy - schemat, oznaczenia i zastosowanie 45. Drugie Prawo Kirchhoffa - bilans spadku napięć w zamkniętym obwodzie elektrycznym 46. Do czego służy przedwzmacniacz? 47. Wzmacniacze audio - schematy i działanie 48. Co to jest kinematyka? Wzory kinematyki 49. Jaka ładowarka samochodowa będzie najlepsza? 50. Woltomierz - jak podłączyć i do czego służy? 51. Zasilacz laboratoryjny - jaki wybrać, do czego służy i jak użytkować? 52. Jaki magnes neodymowy kupić? 53. Jaki dron wybrać na początek, na co zwrócić uwagę przy kupnie? 54. Jaki filament wybrać - rodzaje filamentów do drukarek 3d 55. Co to jest termistor - zasada działania, jak dobierać? 56. Lokalizator GPS do samochodu - gdzie i jak zamontować? 57. Transmiter samochodowy - jak działa? 58. Jak działa ładowarka indukcyjna i jak nią ładować? 59. Jaki oczyszczacz powietrza wybrać? 60. Silniki prądu stałego - budowa, zastosowanie i zasada działania 61. Co to jest triak - jak go sprawdzić i jak działa? 62. Co to jest tranzystor MOSFET - jak działa, jak sprawdzać? 63. Izopropanol - do czego służy i gdzie kupić? 64. Co to jest tranzystor, jak działa i za co odpowiada? 65. Co to jest Transformator i jak działa? 66. Potencjometr obrotowy - schemat, podłączenie i zasada działania 67. Fotorezystor - charakterystyka, zastosowanie i zasada działania 68. Jak dobrać rezystor do diody? 69. Co to jest Tyrystor i do czego służy? 70. Jakie kable rozruchowe wybrać do samochodu? 71. Jaki miernik grubości lakieru kupić? 72. Pomiar jakości powietrza - jak sprawdzić jakość powietrza w domu i na zewnątrz? 73. Języki programowania sterowników PLC 74. Czym jest napięcie i natężenie prądu? 75. Reguła prawej dłoni, czyli ruch przewodnika w polu magnetycznym 76. Co to jest Bluetooth i jak działa? 77. Co to jest silnik krokowy - zasada działania i przeznaczenie 78. Jaką stację pogodową wybrać? Odpowiadamy czym kierować się przy kupnie 79. Jak działa przekaźnik? 80. Sterowniki PLC co to jest? Jakie jest ich zastosowanie i budowa? 81. Radiator i wentylator - czym są i jak działają? 82. Antena samochodowa - jaką wybrać? 83. Podłączenie czujnika ruchu 84. Czujnik ruchu - zasada działania 85. Wszelakie zastosowanie druku 3D - ogromny potencjał 86. Jaką drukarkę 3D kupić? - na co zwracać uwagę przy wyborze 87. Czyszczenie elektroniki - czym czyścić sprzęt elektroniczny? 88. Wytrawianie płytek drukowanych (PCB) - wszystko co powinieneś wiedzieć! 89. Jak sprawdzić tyrystor - opis jego działania 90. Transoptory - zastosowanie i zasada działania 91. Jak działa stabilizator napięcia i do czego służy? 92. Jak wymienić bezpiecznik w samochodzie? 93. Rodzaje regulatorów napięcia 94. Dioda prostownicza - charakterystyka, oznaczenia, budowa 95. Jaki wzmacniacz dźwięku wybrać? 96. Bramki logiczne - symbole i zastosowanie 97. Jakie przewody (kable) do głośników dobrać? 98. Do czego służy myjka ultradźwiękowa oraz zasada działania. Czego nie można myć? 99. Oscyloskop - co to jest i do czego służy? 100. Rodzaje czujników ruchu
Rozwiń cały spis treści Zwiń spis treści
Firma:
AUTOR
Udostępnij
Zobacz wszystkie quizy
Quiz weekendowy
Poziomy logiczne
1/10 Jakie rodziny układów logicznych są najczęściej stosowane współcześnie?
Oceń najnowsze wydanie EdW
Wypełnij ankietę i odbierz prezent
UK Logo
Elektronika dla Wszystkich
Zapisując się na nasz newsletter możesz otrzymać GRATIS
najnowsze e-wydanie magazynu "Elektronika dla Wszystkich"