Serwisy partnerskie:
Close icon
Serwisy partnerskie

Jak podłączyć taśmy LED

Article Image
Podłączenie taśmy z diodami LED do zasilacza jest kluczowe, aby mogła w ogóle świecić. Nieprawidłowe wykonanie tej pozornie prostej czynności może drastycznie zmniejszyć ich wydajność, a nawet przyczynić się do większej awaryjności naszego oświetlenia.
1. Repetytorium użytkowej elektroniki 2. Repetytorium użytkowej elektroniki - Oświetlenie LED pod szafkami 3. Repetytorium użytkowej elektroniki - Oświetlenie do piwnicy 4. Repetytorium użytkowej elektroniki - Sygnalizator zalania 5. Repetytorium użytkowej elektroniki - Zasilacz do układu audio 6. Repetytorium użytkowej elektroniki - Zasilacz warsztatowy 7. Jaką wkrętarkę wybrać? Na co zwrócić uwagę przy zakupie? 8. Rodzaje tranzystorów bipolarnych i unipolarnych 9. Jak podłączyć taśmy LED 10. Inteligentny dom - wszystko co powinieneś wiedzieć o systemach SMART HOME 11. Jak podłączyć prostownik do akumulatora (ładowanie) 12. Drukarki 3D - budowa i zasada działania 13. Jak prawidłowo zarobić kabel antenowy? 14. Jaki czujnik czadu wybrać i gdzie najlepiej zamontować? 15. Programowanie mikrokontrolerów - o czym należy wiedzieć na początek? 16. Oscyloskop cyfrowy - jaki wybrać? 17. Co to jest barometr i jak działa? 18. Jaki wykrywacz metali kupić? Na co zwracać uwagę przy wyborze? 19. Jak działa sieć 5G i jakie daje możliwości? 20. Diody LED - napięcie diod o różnych kolorach 21. Jaki kompresor samochodowy kupić? 22. Czujniki parkowania - jakie wybrać? 23. Jak ustawić antenę do odbioru naziemnej TV DVB-T? 24. Co to jest rezystor (opornik) i jak działa? 25. Jakie są typy i rodzaje bezpieczników? 26. Co to jest układ scalony i jak działa? 27. Jak zmierzyć napięcie akumulatora miernikiem? 28. Jak zarobić kabel sieciowy RJ-45? 29. Lutowanie - jak lutować kable poprawnie? 30. Arduino - co to jest i jak zacząć? 31. Raspberry pi - co to jest, do czego służy, jak zacząć? 32. Do czego służą kondensatory - zasada działania 33. Co to jest bezpiecznik i jak działa? 34. Jak dobrać i wymienić bezpiecznik? 35. Rodzaje kondensatorów, ich oznaczenia i budowa 36. Kalafonia - co to jest? do czego służy? jak używać? 37. Przewodniki prądu - co przewodzi prąd, a co nie? 38. Jaka latarka czołowa sprawdzi się najlepiej? 39. Jak działa płytka stykowa (prototypowa)? 40. Jakie ogniwa 18650 wybrać i gdzie kupić akumulatorki? 41. Jaki powerbank wybrać? Czym kierować się przy kupnie? 42. Raspberry Pi czy Arduino? Co wybrać? 43. Pierwsze Prawo Kirchhoffa - przepływ prądu w obwodzie elektrycznym 44. Rezonator kwarcowy - schemat, oznaczenia i zastosowanie 45. Drugie Prawo Kirchhoffa - bilans spadku napięć w zamkniętym obwodzie elektrycznym 46. Do czego służy przedwzmacniacz? 47. Wzmacniacze audio - schematy i działanie 48. Co to jest kinematyka? Wzory kinematyki 49. Jaka ładowarka samochodowa będzie najlepsza? 50. Woltomierz - jak podłączyć i do czego służy? 51. Zasilacz laboratoryjny - jaki wybrać, do czego służy i jak użytkować? 52. Jaki magnes neodymowy kupić? 53. Jaki dron wybrać na początek, na co zwrócić uwagę przy kupnie? 54. Jaki filament wybrać - rodzaje filamentów do drukarek 3d 55. Co to jest termistor - zasada działania, jak dobierać? 56. Lokalizator GPS do samochodu - gdzie i jak zamontować? 57. Transmiter samochodowy - jak działa? 58. Jak działa ładowarka indukcyjna i jak nią ładować? 59. Jaki oczyszczacz powietrza wybrać? 60. Silniki prądu stałego - budowa, zastosowanie i zasada działania 61. Co to jest triak - jak go sprawdzić i jak działa? 62. Co to jest tranzystor MOSFET - jak działa, jak sprawdzać? 63. Izopropanol - do czego służy i gdzie kupić? 64. Co to jest tranzystor, jak działa i za co odpowiada? 65. Co to jest Transformator i jak działa? 66. Potencjometr obrotowy - schemat, podłączenie i zasada działania 67. Fotorezystor - charakterystyka, zastosowanie i zasada działania 68. Jak dobrać rezystor do diody? 69. Co to jest Tyrystor i do czego służy? 70. Jakie kable rozruchowe wybrać do samochodu? 71. Jaki miernik grubości lakieru kupić? 72. Pomiar jakości powietrza - jak sprawdzić jakość powietrza w domu i na zewnątrz? 73. Języki programowania sterowników PLC 74. Czym jest napięcie i natężenie prądu? 75. Reguła prawej dłoni, czyli ruch przewodnika w polu magnetycznym 76. Co to jest Bluetooth i jak działa? 77. Co to jest silnik krokowy - zasada działania i przeznaczenie 78. Jaką stację pogodową wybrać? Odpowiadamy czym kierować się przy kupnie 79. Jak działa przekaźnik? 80. Sterowniki PLC co to jest? Jakie jest ich zastosowanie i budowa? 81. Radiator i wentylator - czym są i jak działają? 82. Antena samochodowa - jaką wybrać? 83. Podłączenie czujnika ruchu 84. Czujnik ruchu - zasada działania 85. Wszelakie zastosowanie druku 3D - ogromny potencjał 86. Jaką drukarkę 3D kupić? - na co zwracać uwagę przy wyborze 87. Czyszczenie elektroniki - czym czyścić sprzęt elektroniczny? 88. Wytrawianie płytek drukowanych (PCB) - wszystko co powinieneś wiedzieć! 89. Jak sprawdzić tyrystor - opis jego działania 90. Transoptory - zastosowanie i zasada działania 91. Jak działa stabilizator napięcia i do czego służy? 92. Jak wymienić bezpiecznik w samochodzie? 93. Rodzaje regulatorów napięcia 94. Dioda prostownicza - charakterystyka, oznaczenia, budowa 95. Jaki wzmacniacz dźwięku wybrać? 96. Bramki logiczne - symbole i zastosowanie 97. Jakie przewody (kable) do głośników dobrać? 98. Do czego służy myjka ultradźwiękowa oraz zasada działania. Czego nie można myć? 99. Oscyloskop - co to jest i do czego służy? 100. Rodzaje czujników ruchu
Rozwiń cały spis treści Zwiń spis treści

Co to jest taśma LED?

Taśmy LED to elastyczne paski z tworzywa sztucznego, na które zostały naniesione przewodzące prąd ścieżki, zazwyczaj z miedzi. Na tych ścieżkach są umieszczone, poprzez ich przylutowanie, diody elektroluminescencyjne (LED) oraz rezystory ograniczające ich prąd. Co kilka-kilkanaście centymetrów znajduje się miejsce, w którym można tę taśmę przeciąć.

Cięcie taśmy na mniejsze części

Fragment znajdujący się między miejscami cięcia stanowi samodzielny odcinek taśmy, czyli będzie on prawidłowo świecił po podłączeniu do niego zasilania. Odcinek taśmy o wymaganej długości może mieć wiele takich fragmentów, ale wszystkie zawsze muszą znajdować się w całości, czyli miejsce cięcia może przebiegać tylko po wyznaczonych liniach. Po przecięciu, zostaną po każdej stronie małe, odsłonięte pola miedzi. Właśnie te pola są bohaterami niniejszego poradnika.

Lutowanie przewodu do taśmy

Ponieważ te pola są wykonane z miedzi, najłatwiej byłoby połączyć przewód idący do zasilacza poprzez jego przylutowanie. Takie połączenie byłoby trwałe, pewne i wprowadzałoby niskie straty napięcia. Jednak wykonanie prawidłowych połączeń lutowanych wymaga posiada lutownicy, dodatkowych materiałów do niej (spoiwa lutowniczego, czyli tzw. cyny, oraz topnika na przykład kalafonii) oraz nieco wprawy.

Jak przylutować taśmę?

Pola miedzi na taśmie LED są niewielkie, więc ich pobielenie (pokrycie cienką warstwą cyny) może być niełatwym zadaniem. Pamiętajmy, że zawsze można zdrapać troszeczkę więcej izolacyjnej warstwy lakieru z taśmy niż zrobił to producent.

Po przyłożeniu dobrze pobielonego przewodu do takiego pola i podgrzaniu go lutownicą w obecności niewielkiej ilości topnika, powinno powstać wystarczająco trwałe połączenie.

Jeżeli taśma jest zalana silikonem, należy go zawczasu usunąć znad obszaru lutowania, na przykład ostrym nożem.

Gotowe złącza do taśm LED

Jednak nie każdy operuje lutownicą na tyle pewnie, by podjąć się tego zadania. Można przecież przegrzać delikatną taśmę, przez co jej powierzchnia zniekształci się, a miedziana folia może się w tym miejscu odkleić. Dla takich osób powstały inne rozwiązania. Jednym z nich są specjalne złącza do taśm LED:

Zamiast lutować koniec taśmy do przewodu, wystarczy zacisnąć na nim takie złącze z już zarobionym przewodem. Wtedy odpada konieczność lutowania. Jedyne, na co należy zwrócić uwagę, to prawidłowa polaryzacja: plus (+) na taśmie powinien się łączyć z przewodem czerwonym, a minus (-) z czarnym. Takie złącza są dostępne dla różnych taśm, zarówno jednokolorowych, jak i RGB – z większą liczbą przewodów.

Jeszcze prostsze rozwiązanie

Taśmy LED dostępne w sklepach czasem mają przylutowane na końcu złącze umożliwiające podłączenie zasilacza wtyczkowego na odpowiednie napięcie, z wtykiem typu DC. Wtedy wystarczy przykleić tę taśmę w wybranym zdjęciu, podłączyć zasilacz i gotowe – nie potrzeba do tego jakichkolwiek narzędzi! Są też złączki do taśm LED z takimi gniazdami:

Łączenie taśm w dłuższy odcinek

Jeżeli zachodzi konieczność połączenia dwóch taśm ze sobą, również najprościej byłoby to wykonać lutownicą. Wystarczy pobielić pola lutownicze na obu łączonych taśmach, po czym przysunąć je do siebie, wręcz zetknąć ich krawędzie, a potem kroplami spoiwa lutowniczego połączyć odpowiadające sobie pola na obu taśmach. Można też użyć krótkich odcinków drutu, jeżeli ktoś nie ufa samym tylko kroplom spoiwa.

Nie potrzeba lutownicy

Również i w tym wypadku można obyć się bez lutownicy, ponieważ są w sprzedaży odpowiednie złącza umożliwiające połączenie dwóch taśm ze sobą:

Są nawet odpowiednie kształtki i złącza umożliwiające zrobienie połączeń pod kątem 90º, a nawet rozgałęźniki: potrójne (typu T) i poczwórne (typu X).

Decydując się na łączenie taśm złączami trzeba upewnić się, że rozmiar zakupionej taśmy (jej szerokość i wielkość diod LED, podawana w formie czterech cyfr w symbolu SMDxxxx) odpowiada złączom. W przeciwnym razie, rozstaw pól lutowniczych nie będzie się zgadzał.

Na co zwrócić uwagę?

Do taśm świecących w jednym kolorze będzie potrzebny przewód podwójny, tj. dwużyłowy – mający dwie, odizolowane od siebie żyły. Dla taśm RGB będzie potrzebny przewód czterożyłowy: jedna żyła prowadzi biegun wspólny dla wszystkich barw, a pozostałe dostarczają prąd każdemu kolorowi osobno. Taśmy RGBW wymagają pięciu żył w przewodzie, gdyż ma ona cztery barwy + nieodzowny przewód wspólny.

Kwestia polaryzacji

W taśmach jednokolorowych są zaznaczone dwa bieguny: plus (+) i minus (-). Taśmy RGB mają oznaczony plus jako biegun wspólny, a poszczególne składowe (R – czerwona, G – zielona, B – niebieska) należy podłączać do minusa zasilacza, aby świeciły. W taśmach RGBW jest tak samo: składowa W (biała) też jest załączana przez podłączenie do minusa zasilacza.

Napięcie

Taśmy LED zazwyczaj są przystosowane do zasilania napięciem stałym o wartości 12V. Zazwyczaj, ale nie zawsze. W sprzedaży są dostępne taśmy na napięcie 24V, 5V, albo nawet 230V. Te ostatnie podłącza się wprost do sieci (uwaga na wysokie napięcie!), a pozostałe wymagają odpowiedniego zasilacza. Jego napięcie musi być takie samo, jak zasilanej taśmy.

Moc

Moc, jaką może oddać zasilacz (napisana na jego obudowie) powinna być większa od tej, jaką pobiorą łącznie wszystkie podłączone do niego taśmy. Trzeba tu przyjąć lekki naddatek – jako minimalny typowo zakłada się 10-20%, ale im więcej zapasu mocy zasilacza, tym lepiej dla jego żywotności.

Spadek napięcia

Taśmy z diodami LED mogą pobierać prąd o natężeniu kilku amperów. Miedziane ścieżki, naniesione na ich powierzchnię, maja z kolei relatywnie wysoką rezystancję. Przy przepływie przez nie prądu o tak dużym natężeniu, może powstać spadek napięcia o wyraźnej wartości. Tak, wyraźnej, ponieważ jeden koniec taśmy (będący bliżej punktu podłączenia do zasilacza) będzie świecił jaśniej, a drugi ciemniej.

Tę nieestetyczną przypadłość można łatwo „wyleczyć”. Wystarczy podłączyć taśmę do zasilacza z obu jej stron. Przewód biegnący do tego końca, który znajduje się dalej, też wprowadzi pewną stratę napięcia, lecz i tak mniejszą, niż sama warstwa przewodząca taśmy LED. Nierównomierność świecenia będzie zdecydowanie mniejsza, o ile w ogóle da się ją zauważyć.

Jak dobrać przewody?

Z taśmami LED wiążą się również przewody, jakimi trzeba je połączyć z zasilaczem. Dokładniej mówiąc, trzeba dobrze dobrać ich przekrój poprzeczny – zbyt mały spowoduje, że wprowadzą zbyt duży spadek napięcia i taśmy będą świeciły ciemniej, niż powinny. Z kolei zbyt grube (o dużym przekroju) będą drogie i niewygodne w układaniu.

Najlepiej, aby jedna taśma była zasilana przez jeden przewód, gdyż wtedy przez każdy z nich będzie płynął prąd zasilający tylko tę taśmę. Czasem da się tak zrobić, ale nie zawsze – mogłoby się to skończyć utworzeniem plątaniny przewodów w pomieszczeniu.

Warto mieć plan

Aby dobrze dobrać przekrój poprzeczny przewodu, jaki należy kupić, warto rozrysować sobie układ połączeń: długość każdego odcinka taśmy oraz odległość między nim a zasilaczem.

Wykonując obliczenia pod fragment najbardziej obciążony (o największej długości i zasilający najdłuższy odcinek taśmy), pozostałe odcinki taśmy na pewno będą zasilone prawidłowo. Można też wykonać obliczenia pod różne odcinki i zaopatrzyć się w przewody o różnych przekrojach.

Przykład

Przed dokonaniem obliczeń, trzeba przyjąć pewne założenia. Wybrana przez nas taśma pobiera moc 10W na 0,5m długości i jest zasilana napięciem o wartości 12V - to można sprawdzić u sprzedawcy. Odległość taśmy od zasilacza wyniesie 4m. Długość odcinka taśmy do zasilenia to 1,5m. Zakładamy, że dopuszczalny spadek napięcia wyniesie 5% nominalnej wartości napięcia – im mniejszy, tym grubsze przewody trzeba będzie kupić.

Dopuszczalny spadek napięcia wyrażony w woltach:

Taśma o długości 1,5m będzie pobierała moc P równą:

Wiemy, że jest zasilana napięciem 12V, więc można obliczyć natężenie pobieranego przez nią prądu I:

Na podstawie internetowego kalkulatora (https://lumier.pl/kalkulator/) wykonano tabelę, która zawiera rezystancję miedzianego, dwużyłowego przewodu o długości 1m i określonym przekroju poprzecznym:

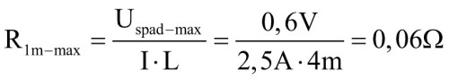
Wystarczy użyć odpowiednio przekształconego prawa Ohma, aby obliczyć maksymalną rezystancję przewodu dla danej długości i pobieranego prądu:

Takie wymagania spełni przewód o przekroju poprzecznym żyły wynoszącym 0,75mm2, ponieważ jego rezystancja na 1m jest mniejsza od obliczonej. Można kupić przewód o większym przekroju, powyższe obliczenia pozwalają na oszacowanie minimalnego pola przekroju poprzecznego.

1. Repetytorium użytkowej elektroniki 2. Repetytorium użytkowej elektroniki - Oświetlenie LED pod szafkami 3. Repetytorium użytkowej elektroniki - Oświetlenie do piwnicy 4. Repetytorium użytkowej elektroniki - Sygnalizator zalania 5. Repetytorium użytkowej elektroniki - Zasilacz do układu audio 6. Repetytorium użytkowej elektroniki - Zasilacz warsztatowy 7. Jaką wkrętarkę wybrać? Na co zwrócić uwagę przy zakupie? 8. Rodzaje tranzystorów bipolarnych i unipolarnych 9. Jak podłączyć taśmy LED 10. Inteligentny dom - wszystko co powinieneś wiedzieć o systemach SMART HOME 11. Jak podłączyć prostownik do akumulatora (ładowanie) 12. Drukarki 3D - budowa i zasada działania 13. Jak prawidłowo zarobić kabel antenowy? 14. Jaki czujnik czadu wybrać i gdzie najlepiej zamontować? 15. Programowanie mikrokontrolerów - o czym należy wiedzieć na początek? 16. Oscyloskop cyfrowy - jaki wybrać? 17. Co to jest barometr i jak działa? 18. Jaki wykrywacz metali kupić? Na co zwracać uwagę przy wyborze? 19. Jak działa sieć 5G i jakie daje możliwości? 20. Diody LED - napięcie diod o różnych kolorach 21. Jaki kompresor samochodowy kupić? 22. Czujniki parkowania - jakie wybrać? 23. Jak ustawić antenę do odbioru naziemnej TV DVB-T? 24. Co to jest rezystor (opornik) i jak działa? 25. Jakie są typy i rodzaje bezpieczników? 26. Co to jest układ scalony i jak działa? 27. Jak zmierzyć napięcie akumulatora miernikiem? 28. Jak zarobić kabel sieciowy RJ-45? 29. Lutowanie - jak lutować kable poprawnie? 30. Arduino - co to jest i jak zacząć? 31. Raspberry pi - co to jest, do czego służy, jak zacząć? 32. Do czego służą kondensatory - zasada działania 33. Co to jest bezpiecznik i jak działa? 34. Jak dobrać i wymienić bezpiecznik? 35. Rodzaje kondensatorów, ich oznaczenia i budowa 36. Kalafonia - co to jest? do czego służy? jak używać? 37. Przewodniki prądu - co przewodzi prąd, a co nie? 38. Jaka latarka czołowa sprawdzi się najlepiej? 39. Jak działa płytka stykowa (prototypowa)? 40. Jakie ogniwa 18650 wybrać i gdzie kupić akumulatorki? 41. Jaki powerbank wybrać? Czym kierować się przy kupnie? 42. Raspberry Pi czy Arduino? Co wybrać? 43. Pierwsze Prawo Kirchhoffa - przepływ prądu w obwodzie elektrycznym 44. Rezonator kwarcowy - schemat, oznaczenia i zastosowanie 45. Drugie Prawo Kirchhoffa - bilans spadku napięć w zamkniętym obwodzie elektrycznym 46. Do czego służy przedwzmacniacz? 47. Wzmacniacze audio - schematy i działanie 48. Co to jest kinematyka? Wzory kinematyki 49. Jaka ładowarka samochodowa będzie najlepsza? 50. Woltomierz - jak podłączyć i do czego służy? 51. Zasilacz laboratoryjny - jaki wybrać, do czego służy i jak użytkować? 52. Jaki magnes neodymowy kupić? 53. Jaki dron wybrać na początek, na co zwrócić uwagę przy kupnie? 54. Jaki filament wybrać - rodzaje filamentów do drukarek 3d 55. Co to jest termistor - zasada działania, jak dobierać? 56. Lokalizator GPS do samochodu - gdzie i jak zamontować? 57. Transmiter samochodowy - jak działa? 58. Jak działa ładowarka indukcyjna i jak nią ładować? 59. Jaki oczyszczacz powietrza wybrać? 60. Silniki prądu stałego - budowa, zastosowanie i zasada działania 61. Co to jest triak - jak go sprawdzić i jak działa? 62. Co to jest tranzystor MOSFET - jak działa, jak sprawdzać? 63. Izopropanol - do czego służy i gdzie kupić? 64. Co to jest tranzystor, jak działa i za co odpowiada? 65. Co to jest Transformator i jak działa? 66. Potencjometr obrotowy - schemat, podłączenie i zasada działania 67. Fotorezystor - charakterystyka, zastosowanie i zasada działania 68. Jak dobrać rezystor do diody? 69. Co to jest Tyrystor i do czego służy? 70. Jakie kable rozruchowe wybrać do samochodu? 71. Jaki miernik grubości lakieru kupić? 72. Pomiar jakości powietrza - jak sprawdzić jakość powietrza w domu i na zewnątrz? 73. Języki programowania sterowników PLC 74. Czym jest napięcie i natężenie prądu? 75. Reguła prawej dłoni, czyli ruch przewodnika w polu magnetycznym 76. Co to jest Bluetooth i jak działa? 77. Co to jest silnik krokowy - zasada działania i przeznaczenie 78. Jaką stację pogodową wybrać? Odpowiadamy czym kierować się przy kupnie 79. Jak działa przekaźnik? 80. Sterowniki PLC co to jest? Jakie jest ich zastosowanie i budowa? 81. Radiator i wentylator - czym są i jak działają? 82. Antena samochodowa - jaką wybrać? 83. Podłączenie czujnika ruchu 84. Czujnik ruchu - zasada działania 85. Wszelakie zastosowanie druku 3D - ogromny potencjał 86. Jaką drukarkę 3D kupić? - na co zwracać uwagę przy wyborze 87. Czyszczenie elektroniki - czym czyścić sprzęt elektroniczny? 88. Wytrawianie płytek drukowanych (PCB) - wszystko co powinieneś wiedzieć! 89. Jak sprawdzić tyrystor - opis jego działania 90. Transoptory - zastosowanie i zasada działania 91. Jak działa stabilizator napięcia i do czego służy? 92. Jak wymienić bezpiecznik w samochodzie? 93. Rodzaje regulatorów napięcia 94. Dioda prostownicza - charakterystyka, oznaczenia, budowa 95. Jaki wzmacniacz dźwięku wybrać? 96. Bramki logiczne - symbole i zastosowanie 97. Jakie przewody (kable) do głośników dobrać? 98. Do czego służy myjka ultradźwiękowa oraz zasada działania. Czego nie można myć? 99. Oscyloskop - co to jest i do czego służy? 100. Rodzaje czujników ruchu
Rozwiń cały spis treści Zwiń spis treści
Firma:
Tematyka materiału: LED, dioda, diody elektroluminescencyjne, złącza do taśm LED, prawo Ohma
AUTOR
Źródło
sklep.avt.pl
Udostępnij
Zobacz wszystkie quizy
Quiz weekendowy
Poziomy logiczne
1/10 Jakie rodziny układów logicznych są najczęściej stosowane współcześnie?
Oceń najnowsze wydanie EdW
Wypełnij ankietę i odbierz prezent
UK Logo
Elektronika dla Wszystkich
Zapisując się na nasz newsletter możesz otrzymać GRATIS
najnowsze e-wydanie magazynu "Elektronika dla Wszystkich"