Serwisy partnerskie:
Close icon
Serwisy partnerskie

Repetytorium użytkowej elektroniki - Oświetlenie do piwnicy

Article Image
Elportal jest źródłem wiedzy dla profesjonalnych elektroników śledzących rozwój elektroniki w swojej specjalizacji. Jeśli jednak odczuwasz potrzebę przypomnienia sobie szerokiego spektrum zagadnień elektroniki użytkowej, to dla Ciebie jest to Repetytorium. W tym kursie znajdą również przystępnie podaną wiedzę programiści nieelektronicy odwiedzający Elportal w poszukiwaniu inspiracji projektowych.
Ciemno w piwnicy?
Jak można w niej cokolwiek znaleźć?
I nie ma skąd poprowadzić przewodów zasilających?
Możesz temu zaradzić samodzielnie!
Light icon
1. Repetytorium użytkowej elektroniki 2. Repetytorium użytkowej elektroniki - Oświetlenie LED pod szafkami 3. Repetytorium użytkowej elektroniki - Oświetlenie do piwnicy 4. Repetytorium użytkowej elektroniki - Sygnalizator zalania 5. Repetytorium użytkowej elektroniki - Zasilacz do układu audio 6. Repetytorium użytkowej elektroniki - Zasilacz warsztatowy 7. Jaką wkrętarkę wybrać? Na co zwrócić uwagę przy zakupie? 8. Rodzaje tranzystorów bipolarnych i unipolarnych 9. Jak podłączyć taśmy LED 10. Inteligentny dom - wszystko co powinieneś wiedzieć o systemach SMART HOME 11. Jak podłączyć prostownik do akumulatora (ładowanie) 12. Drukarki 3D - budowa i zasada działania 13. Jak prawidłowo zarobić kabel antenowy? 14. Jaki czujnik czadu wybrać i gdzie najlepiej zamontować? 15. Programowanie mikrokontrolerów - o czym należy wiedzieć na początek? 16. Oscyloskop cyfrowy - jaki wybrać? 17. Co to jest barometr i jak działa? 18. Jaki wykrywacz metali kupić? Na co zwracać uwagę przy wyborze? 19. Jak działa sieć 5G i jakie daje możliwości? 20. Diody LED - napięcie diod o różnych kolorach 21. Jaki kompresor samochodowy kupić? 22. Czujniki parkowania - jakie wybrać? 23. Jak ustawić antenę do odbioru naziemnej TV DVB-T? 24. Co to jest rezystor (opornik) i jak działa? 25. Jakie są typy i rodzaje bezpieczników? 26. Co to jest układ scalony i jak działa? 27. Jak zmierzyć napięcie akumulatora miernikiem? 28. Jak zarobić kabel sieciowy RJ-45? 29. Lutowanie - jak lutować kable poprawnie? 30. Arduino - co to jest i jak zacząć? 31. Raspberry pi - co to jest, do czego służy, jak zacząć? 32. Do czego służą kondensatory - zasada działania 33. Co to jest bezpiecznik i jak działa? 34. Jak dobrać i wymienić bezpiecznik? 35. Rodzaje kondensatorów, ich oznaczenia i budowa 36. Kalafonia - co to jest? do czego służy? jak używać? 37. Przewodniki prądu - co przewodzi prąd, a co nie? 38. Jaka latarka czołowa sprawdzi się najlepiej? 39. Jak działa płytka stykowa (prototypowa)? 40. Jakie ogniwa 18650 wybrać i gdzie kupić akumulatorki? 41. Jaki powerbank wybrać? Czym kierować się przy kupnie? 42. Raspberry Pi czy Arduino? Co wybrać? 43. Pierwsze Prawo Kirchhoffa - przepływ prądu w obwodzie elektrycznym 44. Rezonator kwarcowy - schemat, oznaczenia i zastosowanie 45. Drugie Prawo Kirchhoffa - bilans spadku napięć w zamkniętym obwodzie elektrycznym 46. Do czego służy przedwzmacniacz? 47. Wzmacniacze audio - schematy i działanie 48. Co to jest kinematyka? Wzory kinematyki 49. Jaka ładowarka samochodowa będzie najlepsza? 50. Woltomierz - jak podłączyć i do czego służy? 51. Zasilacz laboratoryjny - jaki wybrać, do czego służy i jak użytkować? 52. Jaki magnes neodymowy kupić? 53. Jaki dron wybrać na początek, na co zwrócić uwagę przy kupnie? 54. Jaki filament wybrać - rodzaje filamentów do drukarek 3d 55. Co to jest termistor - zasada działania, jak dobierać? 56. Lokalizator GPS do samochodu - gdzie i jak zamontować? 57. Transmiter samochodowy - jak działa? 58. Jak działa ładowarka indukcyjna i jak nią ładować? 59. Jaki oczyszczacz powietrza wybrać? 60. Silniki prądu stałego - budowa, zastosowanie i zasada działania 61. Co to jest triak - jak go sprawdzić i jak działa? 62. Co to jest tranzystor MOSFET - jak działa, jak sprawdzać? 63. Izopropanol - do czego służy i gdzie kupić? 64. Co to jest tranzystor, jak działa i za co odpowiada? 65. Co to jest Transformator i jak działa? 66. Potencjometr obrotowy - schemat, podłączenie i zasada działania 67. Fotorezystor - charakterystyka, zastosowanie i zasada działania 68. Jak dobrać rezystor do diody? 69. Co to jest Tyrystor i do czego służy? 70. Jakie kable rozruchowe wybrać do samochodu? 71. Jaki miernik grubości lakieru kupić? 72. Pomiar jakości powietrza - jak sprawdzić jakość powietrza w domu i na zewnątrz? 73. Języki programowania sterowników PLC 74. Czym jest napięcie i natężenie prądu? 75. Reguła prawej dłoni, czyli ruch przewodnika w polu magnetycznym 76. Co to jest Bluetooth i jak działa? 77. Co to jest silnik krokowy - zasada działania i przeznaczenie 78. Jaką stację pogodową wybrać? Odpowiadamy czym kierować się przy kupnie 79. Jak działa przekaźnik? 80. Sterowniki PLC co to jest? Jakie jest ich zastosowanie i budowa? 81. Radiator i wentylator - czym są i jak działają? 82. Antena samochodowa - jaką wybrać? 83. Podłączenie czujnika ruchu 84. Czujnik ruchu - zasada działania 85. Wszelakie zastosowanie druku 3D - ogromny potencjał 86. Jaką drukarkę 3D kupić? - na co zwracać uwagę przy wyborze 87. Czyszczenie elektroniki - czym czyścić sprzęt elektroniczny? 88. Wytrawianie płytek drukowanych (PCB) - wszystko co powinieneś wiedzieć! 89. Jak sprawdzić tyrystor - opis jego działania 90. Transoptory - zastosowanie i zasada działania 91. Jak działa stabilizator napięcia i do czego służy? 92. Jak wymienić bezpiecznik w samochodzie? 93. Rodzaje regulatorów napięcia 94. Dioda prostownicza - charakterystyka, oznaczenia, budowa 95. Jaki wzmacniacz dźwięku wybrać? 96. Bramki logiczne - symbole i zastosowanie 97. Jakie przewody (kable) do głośników dobrać? 98. Do czego służy myjka ultradźwiękowa oraz zasada działania. Czego nie można myć? 99. Oscyloskop - co to jest i do czego służy? 100. Rodzaje czujników ruchu
Rozwiń cały spis treści Zwiń spis treści

Są takie miejsca w domu, gdzie światła może być zbyt mało. To są, przede wszystkim, piwnica albo strych. Szukanie czegoś albo robienie porządków z latarką w ręku jest bardzo niewygodne i zniechęca do korzystania z tych pomieszczeń. Problem może być szczególnie dotkliwy w blokach, gdzie instalacja oświetleniowa znajduje się tylko na korytarzu. Wewnątrz poszczególnych komórek jest wówczas po prostu ciemno.

Mogą być także problemy z pociągnięciem instalacji 230 V, aby wykonać takie oświetlenie np. na taśmach LED. W takiej sytuacji, lepiej postawić na własne, niezależne oświetlenie zasilane bateryjnie. To sprawi, że będzie proste, tanie i bezpieczne!

Jako przykład weźmy moją piwnicę w wysokim bloku. W każdej odnodze korytarza jest sześć komórek, a jedynym źródłem światła dla nich jest tylko jedna żarówka. O ile dobrze oświetla ona sam korytarz, o tyle w komórkach jest zupełnie ciemno. Goły beton bardzo dobrze pochłania jej światło, zamiast je odbijać. 

Rysunek 1. Problematyczny rozkład piwnicy

Komórka ma zawrotne 1,5 m², ale jest całkiem pojemna dzięki zastosowaniu wysokich regałów. Jednak szukanie na nich czegokolwiek lub schowanie następnej rzeczy jest trudne, kiedy w ręku trzyma się latarkę. Przydałoby się źródło światła, które:

  • równomiernie rozświetli ten mrok,
  • nie zajmie zbyt dużo miejsca,
  • będzie na tyle tanie i niepozorne, że nie skusi żadnego złodzieja.

Taśmy z diodami LED są zasilane napięciem 12 V lub 24 V, co nie jest zbyt wygodne przy stosowaniu baterii. Im niższe napięcie, tym mniej baterii będzie trzeba kupić. Poza tym, długa taśma będzie pobierała sporą moc, co szybko rozładuje ogniwa. Nikt nie będzie tam czytał książek, co najwyżej etykiety na słoikach.

Lepiej byłoby mieć kilka punktów świetlnych, które byłyby usytuowane dalej od siebie (po 10–20 cm). Poza tym powinny emitować światło możliwie rozproszone, to jest w szerokim kącie. Zwykła latarka emituje wąską wiązkę światła, która ma duży zasięg, ale nie świeci na boki.

Rysunek 2. Światło emitowane przez zwykłą latarkę

Są takie źródła światła, co najważniejsze – niedrogie. To diody typu Flux, które nie świecą „prosto przed siebie”, ale równomiernie pod szerokim kątem. Można wybrać wiele różnych barw świecenia, ale w tym zastosowaniu najlepiej sprawdzi się biała:

Dioda LED Super Flux biała zimna 20 mA 9000 mcd
Zobacz w sklepie avt

Każdy element elektroniczny ma swoje parametry, ten również nie jest wyjątkiem. A oto najważniejsze z nich:

  • napięcie zasilania Uf od 2,9 V do 3,5 V
  • maksymalny prąd przewodzenia Ifmax = 30 mA
  • zalecany prąd przewodzenia If = 20 mA
  • światłość 9000 mcd (dla If = 20 mA)
  • kąt świecenia 100º
  • trwałość 100 000 godzin
  • temperatura pracy od –40ºC do +80ºC

Jak należy rozumieć dwa pierwsze parametry? Dioda to taki element półprzewodnikowy, który może przewodzić prąd w jedną stronę. Jeżeli zostanie odpowiednio spolaryzowany (czyli przyłoży się do niego zasilanie), to będzie przewodzić prąd. A dioda LED dodatkowo zacznie świecić. O tę „umiejętność poboczną” nam chodzi.

Biegun dodatni (czyli +) napięcia przykładamy do anody, a ujemny (czyli –) do katody. Kolejność elektrod jest oznaczona w diodzie Flux za pomocą ściętego rogu obudowy. Ma cztery nóżki, ale po dwie są połączone razem. Można to sprawdzić omomierzem!

Rysunek 3. Dioda Flux z połączeniami wewnętrznymi

Jeżeli do diody przyłoży się napięcie Uf, to popłynie przez nią prąd If, lub w drugą stronę: jeżeli przepuścimy przez nią prąd If, to między jej wyprowadzeniami będzie napięcie równe Uf. Jest jednak mały szkopuł...

Producent diody dokładnie określił prąd If, a napięcie Uf podał z rozrzutem. I to sporym – ponad 20% względem wartości minimalnej! Jak na współczesny poziom techniki, która wynosi nas w kosmos oraz pozwala oglądać pojedyncze atomy, to całkiem sporo. A może ta dioda jest jakaś „niedorobiona”, więc wystarczy znaleźć inną?

Niestety nie. Ten problem jest znany od dziesięcioleci i nadal nie ma skutecznej recepty na jego rozwiązanie. Dlatego zasilając diody LED, trzeba ustalić natężenie prądu, a napięcie wyreguluje się samo. Będzie ono zależało od temperatury oraz od konkretnego egzemplarza diody, ale powinno znaleźć się w podanym przedziale. To jedyny znany obecnie sposób na ominięcie tej trudności.

Rysunek 4. Dioda Flux z zaznaczonym prądem i napięciem przewodzenia

Jak to zasilać? Jedna bateria typu „paluszek” daje napięcie o wartości około 1,5 V. Łącząc je szeregowo, czyli plus jednej z minusem drugiej, można tę wartość zwielokrotnić. Nasza dioda może potrzebować 3,5 V, czyli dwie baterie to dla niej za mało. Lepiej byłoby użyć trzech baterii, co da napięcie 4,5 V, a jego nadmiaru się pozbyć. W jaki sposób? O tym za chwilę.

Rysunek 5. Sumowanie napięć baterii

Baterie są w różnych rozmiarach, co ma też wpływ na ich cenę i pojemność. Najpowszechniejsze są baterie typu AA (inaczej R6), więc takich użyjmy. Lutowanie ich ze sobą byłoby niebezpieczne – przegrzana bateria może się wylać – poza tym utrudni to ich wymianę. Można kupić gotowe koszyki, w które wkładamy baterie. Mają wewnątrz druciki, które łączą baterie szeregowo. Na przewodach jest wtedy dostępna suma napięć z wszystkich włożonych ogniw.

Koszyk baterii AA x3 z przewodami
Zobacz w sklepie avt

Baterie najlepiej dać alkaliczne. Są trwalsze i lepiej znoszą wysokie oraz niskie temperatury, o które w piwnicy czy na strychu nietrudno.

Bateria R6 (AA) alkaliczna Raver, 8 szt.
Zobacz w sklepie avt

Jeżeli baterie są nowiusieńkie, to wartość napięcia na ich zaciskach może być nieco wyższa, rzędu 1,55 V. Nie przejmowałbym się tym znacząco. Po obciążeniu prądem pobieranym przez diody będzie nieco mniejsze, więc nic złego się nie stanie. Podczas projektowania reszty układu przyjmiemy odpowiedni zapas.

Tylko jak „powiedzieć” prądowi, że ma go płynąć tyle a tyle? Taśmy LED były o tyle proste, że wystarczyło do nich podłączyć napięcie 12 V. Tutaj ta sztuczka nie przejdzie – podłączenie takiej diody do zasilacza 12 V skończyłoby się jej natychmiastowym uszkodzeniem!

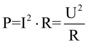
Możliwych rozwiązań jest kilka, a najprostsze z nich to rezystor. Zgodnie z prawem Ohma, jeżeli między jego wyprowadzeniami panuje określone napięcie, to popłynie przez niego prąd o znanym natężeniu. Włączając diodę w szereg z rezystorem, sprawimy, że przez nią popłynie dokładnie taki sam prąd. Rezystory są do kupienia za grosze, więc warto spróbować.

Rysunek 6. Rezystor i jego zastosowanie w ograniczeniu prądu diody LED

Mamy bardzo ładny wzór, tylko z co z niego wynika? Jeżeli dioda potrzebuje „trochę” napięcia, a do dyspozycji mamy więcej, to ten nadmiar może przejąć na siebie rezystor. Przy okazji ustali natężenie prądu. Spróbujmy to obliczyć. Co ciekawe, we wspomnianych wcześniej taśmach LED też są takie rezystory!

Fragment taśmy LED z widocznymi rezystorami

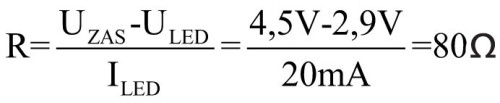
Napięcie zasilające diodę i rezystor pochodzi z trzech baterii, więc Uzas = 4,5 V. Jedna dioda potrzebuje prądu o natężeniu 20 mA i tyle możemy jej dać, aby świeciła możliwie jasno. Zatem ILED = 20 mA. Napięcie na diodzie warto przyjąć najniższe z możliwych (dlaczego – o tym za chwilę), czyli ULED = 2,9 V. Użyjmy wzoru rodem z XIX wieku, ale w nowoczesnej odsłonie:

Takiego rezystora nie da się kupić. W tej sytuacji należy wybrać najbliższy z szeregu, który będzie miał rezystancję niewiele większą. Jest taki, ma 82 Ω. Na małych rezystorach nie ma miejsca na kwieciste opisy, dlatego stosuje się kod, składający się z kolorowych pasków umieszczonych na obwodzie rezystora. 

Rysunek 7. Rezystor 82 Ω – układ pasków na jego obudowie

Czemu przyjęliśmy najmniejsze z możliwych napięć przewodzenia diody? Popatrzmy na przekształcony wzór:

Napięcie przewodzenia znajduje się w liczniku i ma przed sobą znak minus. To oznacza, że jeżeliby wzrosło, to prąd zmaleje. A pamiętajmy, że 20mA to maksimum, jakie zaleca producent diody podczas jej pracy ciągłej. Więc wzrost napięcia przewodzenia diody spowoduje spadek natężenia prądu, jaki przez nią płynie. Będzie świeciła wtedy nieco ciemniej, ale nie spali się. Ten parametr może mieć duży rozrzut, więc warto zwrócić na niego uwagę.

Czemu rezystor został przyjęty większy, czyli 82 Ω, a nie mniejszy? Tutaj również pomoże spojrzenie na przekształconą postać wzoru. Rezystancja jest w mianowniku, więc jej zmniejszenie powoduje wzrost natężenia prądu. W drugą stronę: większy rezystor da mniejszy prąd. Dlatego warto użyć elementu o większej rezystancji, aby nie przekroczyć zakładanego maksimum.

Rezystory cechują się maksymalną mocą, jaką można na nich wytracić. Im większa, tym większe są gabaryty oraz cena takiego elementu. Nie ma zatem sensu kupować rezystorów o dużej dopuszczalnej mocy, jeżeli wystarczą malutkie. Ogólny wzór na moc wygląda tak:

Używając prawa Ohma, można podstawić napięcie U lub prąd I i uzyskać postać „wyspecjalizowaną” dla rezystorów:

Należy pamiętać, że chodzi o prąd I płynący przez rezystor R lub napięcie U, które jest między zaciskami rezystora R. Nie może to być dowolne napięcie ani dowolny prąd, tylko te, które są związane z tym rezystorem!

Wiemy, jaki – orientacyjnie – prąd będzie płynął przez nasz rezystor, znamy też jego rezystancję, zatem obliczmy:

Konieczna była zamiana miliamperów na ampery, aby uzyskać zgodność jednostek. Wynik jest rzędu kilkudziesięciu miliwatów, a typowe rezystory mają dopuszczalną moc 0,25 W (=250 mW). Więc doskonale nadadzą się do tego zastosowania.

Z rezystorami jest również związany taki parametr jak tolerancja. Wyraża się w procentach i oznacza: o ile procent (w górę lub w dół) rezystancja faktyczna może się różnić od deklarowanej. Typowe, niewielkie rezystory o mocy 0,25 W mają tolerancję 5%, co oznacza, że ich rezystancja może się zawierać w takim przedziale:

Minimalna rezystancja może się okazać nieco niższa od obliczonej wartości 80 Ω. Czy to powód do tego, aby liczyć wszystko jeszcze raz? Nie popadałbym w panikę. Po pierwsze, możliwy odchył poniżej 80 Ω może być, ale niewielki – większy wpływ ma rozrzut napięcia przewodzenia. 

Po drugie, do obliczeń przyjęto najniższe możliwe napięcie przewodzenia diody. Jeżeli tylko okaże się ciut wyższe, wszystko ułoży się prawidłowo. Warto jednak zadbać chociaż o ten mały naddatek, wynikający z zaokrąglenia 80 Ω do „równych” 82 Ω...

Jeszcze jedna kwestia: ile dać tych diod? Jedna ma światłość 9000 mcd = 9 cd, czyli 9 kandeli. Można to wyobrazić jako dziewięć świec postawionych w jednym miejscu. Czy takie coś oświetli całą komórkę? Wątpliwe, dlatego proponowałbym dać tych diod więcej. Myślę, że 5 to odpowiednia liczba, zwłaszcza jeżeli będą od siebie trochę odsunięte.

Dla każdej diody trzeba dać oddzielny rezystor. Czyni się tak, aby każda z nich mogła niezależnie od innych ustalić pasujące jej napięcie przewodzenia. Będziemy mieli 5 zespołów dioda+rezystor, a ich maksymalny pobór prądu wyniesie 5·20 mA = 100 mA = 0,1 A

Mamy diody, mamy rezystory, baterie też są i koszyk do nich również. Co by się jeszcze przydało? Najlepiej jakiś wyłącznik, żeby móc tę lampkę łatwo wyłączać. Włącza się go w szereg z którymkolwiek z przewodów idących do baterii, jak amperomierz. Ważne, aby był bistabilny, ponieważ wtedy można go na stałe załączyć albo na stałe wyłączyć. Monostabilny będzie działał tylko wtedy, gdy naciska się go palcem (jak w dzwonkach do drzwi), co nie byłoby zbyt wygodne.

W swojej piwnicy użyłem wyłącznika ze sznurkiem, zamocowanego opaską zaciskową (zwaną również trytytką) do metalowego pręta nad drzwiami do komórki. Wystarczy pociągnąć i robi się jasno. Drugie pociągnięcie sznurka wyłącza światło. 

Przełącznik pociągowy M200 ze sznurkiem
Zobacz w sklepie avt

Można użyć wyłącznika klawiszowego lub dźwigniowego, zależnie od tego, jaki dla kogo będzie wygodniejszy. W naszym układzie są tak niskie napięcia i płyną prądy o tak małych wartościach, że niemal każdy wyłącznik się tutaj nada. Na przykład:

Przełącznik bistabilny ON/OFF 1 A, 30 V biały (przełącznik latarkowy) 17,5 mm
Zobacz w sklepie avt
Przełącznik klawiszowy ON-OFF, 3 A 250 VAC, Canal MR5
Zobacz w sklepie avt

Jeżeli przełącznik ma więcej niż dwa wyprowadzenia, to przydatny będzie omomierz. Za jego pomocą można sprawdzić, między którymi parami wyprowadzeń przełącznika jest zwarcie (przewodzi, rezystancja rzędu 1 Ω lub mniej), a między którymi rozwarcie (nie przewodzi, rezystancja rzędu setek kiloomów i więcej).

Co mówią prąd i napięcie podawane jako parametry przełączników? Określają, jaki maksymalny prąd może przez nie płynąć i jakie może być maksymalne napięcie między ich rozwartymi stykami. Może być mniejsze napięcie, prąd również może być mniejszy. To są tylko wartości skrajne, maksymalne.

Przełączniki, które pokazałem, są w stanie przewodzić prądy znacznie większe od wymaganego (0,1 A) przy napięciach znacznie większych od tego, jakie panuje w układzie (4,5 V). Można więc wybrać niemal dowolny przełącznik.

Do połączenia tych wszystkich rzeczy nieodzowna będzie lutownica wraz z osprzętem i trochę przewodu. Wystarczy cienki, miękki przewód w pojedynczej izolacji typu LgY. Najlepiej mieć dwa kolory, na przykład czerwony i czarny, dla rozróżnienia bieguna dodatniego (plusa) i ujemnego (minusa).

Przewód LgY 0,35mm czerwony
Zobacz w sklepie avt
Przewód LgY 0,35mm czarny
Zobacz w sklepie avt

Całość proponowałbym połączyć według takiego „układu połączeń”:

Układ połączeń

Formalnie to nie jest schemat ideowy. Na prawdziwym schemacie ideowym znajdują się odpowiednie symbole, które reprezentują elementy, a nie rysunki czy zdjęcia poszczególnych części. Linie łączące nie są kolorowe – one tylko wskazują, co z czym powinno być połączone. Tak wygląda prawdziwy schemat ideowy tego układu:

Wygląd schematu ideowego

Znajduje się na nim kilka rzeczy, których dotychczas nie pokazywałem:

  • bateria B1 ma symbol dwóch równoległych kresek, z których jedna jest dłuższa i grubsza. Ona reprezentuje zacisk dodatni (plus). Jeżeli baterii jest więcej, a zostały połączone ze sobą szeregowo, można ten symbol zwielokrotnić;
  • przełącznik S1 na postać dwóch kresek, z których jedna jest ukośna. Symbolizuje mechaniczny styk, który się porusza przy użyciu dźwigni lub przycisku. To, co porusza stykiem, może być zaznaczone na schemacie, ale nie musi;
  • rezystory mają nazwy R1, R2, R3 i tak dalej. Analogicznie diody LED – zazwyczaj spotyka się zestawienie oznaczenia i numerka, co jednoznacznie identyfikuje każdy element na schemacie;
  • przy rezystorach jest podana ich rezystancja, ale bez jednostki. To bardzo popularna sztuczka, która redukuje liczbę znaczków na schemacie. „82” oznacza po prostu 82 Ω;
  • przewody łączące poszczególne elementy są zastąpione prostymi liniami, które nazywamy ścieżkami lub połączeniami. Łamią się pod kątem 90º, w wyjątkowych przypadkach 45º;
  • punkty łączenia poszczególnych ścieżek zaznaczamy kropką. Jeżeli dwie ścieżki muszą się krzyżować na schemacie, ale między nimi ma nie być połączenia, kropki nie ma.

To nie wszystkie niuanse związane ze schematami ideowymi. Ale spokojnie, wszystko będzie powoli opisywane.

Podsumowanie

W tej części kursu bardzo dokładnie omówiliśmy proces projektowania prostego układu elektronicznego. Zaczęliśmy od nakreślenia problemu i sposobu jego rozwiązania. Następnie dobraliśmy odpowiednie części oraz obliczyliśmy ważne parametry niektórych z nich. Poza tym, ułożono te części w jeden układ, przedstawiony później przy użyciu schematu ideowego.

To był pracowity odcinek. W następnym nie zwolnimy tempa – poznamy następne elementy elektroniczne!

1. Repetytorium użytkowej elektroniki 2. Repetytorium użytkowej elektroniki - Oświetlenie LED pod szafkami 3. Repetytorium użytkowej elektroniki - Oświetlenie do piwnicy 4. Repetytorium użytkowej elektroniki - Sygnalizator zalania 5. Repetytorium użytkowej elektroniki - Zasilacz do układu audio 6. Repetytorium użytkowej elektroniki - Zasilacz warsztatowy 7. Jaką wkrętarkę wybrać? Na co zwrócić uwagę przy zakupie? 8. Rodzaje tranzystorów bipolarnych i unipolarnych 9. Jak podłączyć taśmy LED 10. Inteligentny dom - wszystko co powinieneś wiedzieć o systemach SMART HOME 11. Jak podłączyć prostownik do akumulatora (ładowanie) 12. Drukarki 3D - budowa i zasada działania 13. Jak prawidłowo zarobić kabel antenowy? 14. Jaki czujnik czadu wybrać i gdzie najlepiej zamontować? 15. Programowanie mikrokontrolerów - o czym należy wiedzieć na początek? 16. Oscyloskop cyfrowy - jaki wybrać? 17. Co to jest barometr i jak działa? 18. Jaki wykrywacz metali kupić? Na co zwracać uwagę przy wyborze? 19. Jak działa sieć 5G i jakie daje możliwości? 20. Diody LED - napięcie diod o różnych kolorach 21. Jaki kompresor samochodowy kupić? 22. Czujniki parkowania - jakie wybrać? 23. Jak ustawić antenę do odbioru naziemnej TV DVB-T? 24. Co to jest rezystor (opornik) i jak działa? 25. Jakie są typy i rodzaje bezpieczników? 26. Co to jest układ scalony i jak działa? 27. Jak zmierzyć napięcie akumulatora miernikiem? 28. Jak zarobić kabel sieciowy RJ-45? 29. Lutowanie - jak lutować kable poprawnie? 30. Arduino - co to jest i jak zacząć? 31. Raspberry pi - co to jest, do czego służy, jak zacząć? 32. Do czego służą kondensatory - zasada działania 33. Co to jest bezpiecznik i jak działa? 34. Jak dobrać i wymienić bezpiecznik? 35. Rodzaje kondensatorów, ich oznaczenia i budowa 36. Kalafonia - co to jest? do czego służy? jak używać? 37. Przewodniki prądu - co przewodzi prąd, a co nie? 38. Jaka latarka czołowa sprawdzi się najlepiej? 39. Jak działa płytka stykowa (prototypowa)? 40. Jakie ogniwa 18650 wybrać i gdzie kupić akumulatorki? 41. Jaki powerbank wybrać? Czym kierować się przy kupnie? 42. Raspberry Pi czy Arduino? Co wybrać? 43. Pierwsze Prawo Kirchhoffa - przepływ prądu w obwodzie elektrycznym 44. Rezonator kwarcowy - schemat, oznaczenia i zastosowanie 45. Drugie Prawo Kirchhoffa - bilans spadku napięć w zamkniętym obwodzie elektrycznym 46. Do czego służy przedwzmacniacz? 47. Wzmacniacze audio - schematy i działanie 48. Co to jest kinematyka? Wzory kinematyki 49. Jaka ładowarka samochodowa będzie najlepsza? 50. Woltomierz - jak podłączyć i do czego służy? 51. Zasilacz laboratoryjny - jaki wybrać, do czego służy i jak użytkować? 52. Jaki magnes neodymowy kupić? 53. Jaki dron wybrać na początek, na co zwrócić uwagę przy kupnie? 54. Jaki filament wybrać - rodzaje filamentów do drukarek 3d 55. Co to jest termistor - zasada działania, jak dobierać? 56. Lokalizator GPS do samochodu - gdzie i jak zamontować? 57. Transmiter samochodowy - jak działa? 58. Jak działa ładowarka indukcyjna i jak nią ładować? 59. Jaki oczyszczacz powietrza wybrać? 60. Silniki prądu stałego - budowa, zastosowanie i zasada działania 61. Co to jest triak - jak go sprawdzić i jak działa? 62. Co to jest tranzystor MOSFET - jak działa, jak sprawdzać? 63. Izopropanol - do czego służy i gdzie kupić? 64. Co to jest tranzystor, jak działa i za co odpowiada? 65. Co to jest Transformator i jak działa? 66. Potencjometr obrotowy - schemat, podłączenie i zasada działania 67. Fotorezystor - charakterystyka, zastosowanie i zasada działania 68. Jak dobrać rezystor do diody? 69. Co to jest Tyrystor i do czego służy? 70. Jakie kable rozruchowe wybrać do samochodu? 71. Jaki miernik grubości lakieru kupić? 72. Pomiar jakości powietrza - jak sprawdzić jakość powietrza w domu i na zewnątrz? 73. Języki programowania sterowników PLC 74. Czym jest napięcie i natężenie prądu? 75. Reguła prawej dłoni, czyli ruch przewodnika w polu magnetycznym 76. Co to jest Bluetooth i jak działa? 77. Co to jest silnik krokowy - zasada działania i przeznaczenie 78. Jaką stację pogodową wybrać? Odpowiadamy czym kierować się przy kupnie 79. Jak działa przekaźnik? 80. Sterowniki PLC co to jest? Jakie jest ich zastosowanie i budowa? 81. Radiator i wentylator - czym są i jak działają? 82. Antena samochodowa - jaką wybrać? 83. Podłączenie czujnika ruchu 84. Czujnik ruchu - zasada działania 85. Wszelakie zastosowanie druku 3D - ogromny potencjał 86. Jaką drukarkę 3D kupić? - na co zwracać uwagę przy wyborze 87. Czyszczenie elektroniki - czym czyścić sprzęt elektroniczny? 88. Wytrawianie płytek drukowanych (PCB) - wszystko co powinieneś wiedzieć! 89. Jak sprawdzić tyrystor - opis jego działania 90. Transoptory - zastosowanie i zasada działania 91. Jak działa stabilizator napięcia i do czego służy? 92. Jak wymienić bezpiecznik w samochodzie? 93. Rodzaje regulatorów napięcia 94. Dioda prostownicza - charakterystyka, oznaczenia, budowa 95. Jaki wzmacniacz dźwięku wybrać? 96. Bramki logiczne - symbole i zastosowanie 97. Jakie przewody (kable) do głośników dobrać? 98. Do czego służy myjka ultradźwiękowa oraz zasada działania. Czego nie można myć? 99. Oscyloskop - co to jest i do czego służy? 100. Rodzaje czujników ruchu
Rozwiń cały spis treści Zwiń spis treści
Firma:
AUTOR
Udostępnij
Zobacz wszystkie quizy
Quiz weekendowy
Poziomy logiczne
1/10 Jakie rodziny układów logicznych są najczęściej stosowane współcześnie?
Oceń najnowsze wydanie EdW
Wypełnij ankietę i odbierz prezent
UK Logo
Elektronika dla Wszystkich
Zapisując się na nasz newsletter możesz otrzymać GRATIS
najnowsze e-wydanie magazynu "Elektronika dla Wszystkich"