Wiarygodny pomiar wilgotności gleby stanowi niełatwe zadanie. Wilgotność gleby to bowiem coś więcej niż tylko określenie ilości wody w glebie. Aby wyciągnąć sensowne wnioski na temat zawartości H2O w podłożu, musisz wiedzieć coś o jego rodzaju. Gleba sama w sobie składa się z wody, powietrza, minerałów, materii organicznej, a czasami również lodu. Objętościowa zawartość wody (VWC) jest stosunkiem objętości wody do całkowitej objętości gleby. Pod względem tego parametru, gleba wysuszona w piecu z definicji zawiera 0% VWC. To jeden zdefiniowany punkt końcowy. Czysta woda znajduje się na drugim końcu skali, w 100%. Wiele osób uważa, że 100% VWC to podłoże w pełni nasycone, ale tak nie jest. Każdy rodzaj gleby będzie nasycony przy różnej zawartości wody.
Gleby na polu rzadko osiągają nasycenie. Gdy grunt absorbuje wodę, tworzy film wodny, który przylega do cząstek gleby. Istnieją również przestrzenie porów wypełnione powietrzem. To uwięzione powietrze sprawia, że procent nasycenia rzadko będzie równy teoretycznemu maksimum dla danego typu gleby.
Czujniki pojemnościowe wilgotności gleby
Czujniki pojemnościowe korzystają z wysokich częstotliwości (zwykle od 50 do 100 MHz), aby zminimalizować wpływ zasolenia gleby na wyniki odczytu. Taka częstotliwość sond pojemnościowych „widzi” całą wodę w glebie, a jednocześnie okazuje się wystarczająco wysoka, aby uniknąć większości błędów pomiaru wynikających z zasolenia podłoża. Czujniki pojemnościowe mierzą przenikalność dielektryczną w celu uzyskania danych na temat objętościowej zawartości wody.
Rozsądne pomiary wilgotności można przeprowadzić przy użyciu dowolnej techniki, a błędy w pomiarach często wynikają raczej ze złych metod instalacji niż z ograniczeń samych metod.
Czujniki pojemnościowe mogą wykonywać pomiar ciągły. Niektóre ich rodzaje są łatwe w instalacji. Ponadto nie kosztują wiele i mogą uzyskać dobrą dokładność dzięki kalibracji pod kątem specyficznej odmiany gleby (2...3%). Zużywają również niewiele energii, do ich zasilania wystarczą małe baterie z niewielką liczbą paneli słonecznych. Przy wysokim zasoleniu (powyżej 8 dS/m ekstraktu nasycenia) czujnik staje się niedokładny. Niektóre dostępne na rynku wyroby o niskiej jakości charakteryzują się słabą dokładnością i wydajnością.
Obwody czujników pojemnościowych można zaprojektować tak, aby wykrywały bardzo małe zmiany w objętościowej zawartości wody – do tego stopnia, że NASA zastosowała technologię pojemnościową do pomiaru zawartości wody na Marsie.
Czujnik wilgotności gleby SoilWatch 10
SoilWatch 10 firmy Pino-Tech to pojemnościowy czujnik wilgotności gleby, który umożliwia pomiar względnej zawartości wody w podłożu [14].
Jest on wodoodporny i odporny na warunki atmosferyczne – osłonięte elektrody oraz hermetyczna obudowa zabezpieczają układ przed korozją.
Specyfikacja czujnika SoilWatch 10 [14]:
- zasilanie: 3,1...5,0 V (maksymalnie 5,5 V),
- prąd: ~15 mA,
- sygnał wyjściowy: 0...3 V,
- dryft temperaturowy: mniejszy niż 5 mV (typ.),
- temperatura pracy: od –20°C do 80°C (odczyty poniżej 0°C są bez znaczenia),
- wymiary: 170×25×25 mm.
SoilWatch 10 pracuje z częstotliwością 75 MHz i generuje sygnał analogowy w zakresie 0...3 V, przy czym zakres wyjściowy jest przybliżony i różni się nieznacznie w przypadku różnych modeli. Ponadto – w zależności od użytej wersji – czujnik zapewnia napięcie wyjściowe bliskie 0 V w powietrzu i około 3 V w wodzie. SoilWatch 10 ma własny regulator napięcia, więc zmiany napięcia zasilania nie wpływają na jego sygnał wyjściowy.
Gdy czujnik jest stosowany w aplikacjach zasilanych bateryjnie, zaleca się użycie odpowiedniego klucza (tranzystor lub przekaźnik), aby włączyć sensor jedynie na krótko. Typowy czas, po którym moduł jest gotowy do pracy, wynosi mniej niż 100 ms.
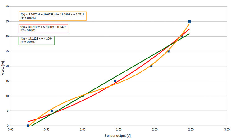
Dane kalibracyjne czujnika SoilWatch 10 dla gliny piaszczystej są pokazane na rysunku 1 [14]. Taka gleba może mieć VWC równe 32% w warunkach polowych (co wskazuje na jej dobre nawodnienie).
Zestaw Enviro Grow (PIM637)
Zestaw Enviro Grow (PIM637) firmy Pimoroni zawiera trzy pojemnościowe czujniki wilgoci gleby, trzy pompki wody, pojemnik na baterie AA oraz płytkę Enviro Grow (PIM627) z czujnikiem ciśnienia, oświetlenia oraz wilgotności i temperatury powietrza [1].
Każdy element zestawu można zakupić oddzielnie. Dodatkowo możliwe jest dokupienie dłuższych (1 m) kabli (CAB1006) do podłączenia czujników wilgotności gleby oraz przedłużacza kabla zasilania pompki (CAB2101).
Na rynku dostępny jest ponadto zestaw Grow (PIM510) firmy Pimoroni, zawierający te same trzy pojemnościowe czujniki wilgoci gleby z kablami 35 cm oraz płytkę Grow HAT Mini (PIM533) stanowiącą nakładkę na Raspberry Pi [7].
Zestaw Enviro Grow (PIM637) zawiera [1]:
- płytkę Enviro Grow (PIM627) [2],
- 3× czujnik wilgotności gleby (PIM520) [3],
- 3× kabel czujnika wilgotności (35 cm) (CAB1007) [5],
- 3× minipompę wody (z kablem) (COM3700) [4],
- rurkę silikonową 1 m (COM3800) [6],
- 3× baterię AA,
- pojemnik na trzy baterie AA,
- kabel USB micro-B,
- rzep do mocowania pojemnika baterii.
Czujnik wilgotności gleby (PIM520)
Pojemnościowy czujnik wilgotności gleby (PIM520) firmy Pimoroni jest wyposażony w cyfrowe wyjście z modulacją częstotliwości [3]. Sygnał wyjściowy mieści się w zakresie ok. 2...30 Hz. Ponieważ sensor pojemnościowy nie ma odsłoniętych elektrod, okazuje się znacznie mniej podatny na korozję w miarę upływu czasu niż tradycyjne czujniki rezystancyjne. Opisywany model zaopatrzony został w złącze JST SH 3P. Po obu stronach powierzchni czujnika zaznaczono linię UNDER oraz GROUND, pokazującą głębokość, na jaką czujnik powinien zostać wsunięty w glebę. Model PIM520 ma wymiary 99×10×5 mm.
Firma nie podaje więcej informacji na temat tego produktu oraz nie udostępnia schematu. Czujnik ma postać jednowarstwowej płytki drukowanej z elementami elektronicznymi przylutowanymi (SMD) na górnej części płytki (fotografia 2). Obie strony płytki są pokryte lakierem zabezpieczającym, a duże pola miedziane usytuowane obustronnie tworzą kondensator pomiarowy. Elementy elektroniczne nie są niczym zabezpieczone. W projekcie zastosowane zostały dwa układy scalone oraz kilka rezystorów i kondensatorów. TLC555C to uniwersalny timer skonfigurowany jako oscylator i jest zgodny z układem opisanym w artykule [8]. Pojemność pomiarowa z rezystorami dołączonymi do TLC555C określa generowaną częstotliwość wyjściową generatora. W przypadku czujnika umieszczonego w powietrzu jest to ok. 112 kHz. Ten przebieg jest podawany na układ 14-stopniowego dzielnika binarnego 74HC4060 – gdy czujnik umieszczony jest w powietrzu, podzielony sygnał cyfrowy ma częstotliwość ok. 27,446 Hz.
Minipompa wody (COM3700)
Minipompa wody (COM3700) firmy Pimoroni to mała, zanurzana pompa odśrodkowa o klasie wodoodporności IP68 i wymiarach ok. 43×38,5×25,5 mm [4]. Pompka działa z mocą 0,91 W przy napięciu 4,5 V (pobór prądu to 0,18 A). Zaopatrzona została w przewód zasilania ze złączem kompatybilnym z Molex Picoblade (raster 1,25 mm). Można ją łatwo podłączyć do gniazdek płytki Enviro Grow lub Grow HAT Mini. Dodatkowo możliwe jest dokupienie kabla przedłużacza zasilania (1 m) pompki wody (CAB2101). Maksymalna wysokość podnoszenia wody wynosi 0,55 m, a najwyższy osiągalny przepływ: 100 l/h. Do pompy podłącza się silikonową rurkę o wewnętrznej średnicy 5 mm (w zestawie).
Minipompa wody przeznaczona jest do domowych systemów automatycznego nawadniania roślin. Należy unikać wciągania gleby do pompki, ponieważ może to spowodować zablokowanie rotora. Aby uzyskać maksymalną trwałość silnika, należy również unikać pracy pompy na sucho przez dłuższy czas.
Płytka Enviro Grow (PIM627)
Na dolnej stronie płytki znalazła się bezpośrednio (SMD) wlutowana płytka Raspberry Pi Pico W, udostępniająca gniazdko microUSB oraz przycisk BOOTSEL. Na dole płytki Enviro Weather zamontowane jest też gniazdko zasilania bateryjnego BATT (JST-PH), przycisk RESET (SW_RESET), dołączony do wejścia RUN procesora RP2040, dwie diody LED (widoczne także od góry) oraz trzy gniazdka (A, B, C) do podłączenia minipompek wody (PUMP). Natomiast na górnej stronie płytki zamontowane zostały: czujnik światła LTR-559 (LIGHT), sensor ciśnienia, temperatury i wilgotności (BME280), brzęczyk (BUZZER), gniazdko komunikacji I²C standardu Qwiic (QW/ST) oraz trzy gniazdka (A, B, C) do podłączenia czujników wilgotności gleby (SOIL).