Sposób pomiaru zawartości zniekształceń
Pomiar zniekształceń polega w ogólności na podaniu na wejście badanego układu sygnału sinusoidalnego i pomiarze oraz analizie napięcia wyjściowego. Jedną z metod jest odfiltrowanie składowej o częstotliwości przebiegu wejściowego, a następnie porównanie tych wartości. Inna metoda polega na wyliczeniu transformaty Fouriera i wyznaczeniu zniekształceń na podstawie składowych harmonicznych widma. Schemat blokowy układu do pomiaru zniekształceń nieliniowych pokazano na rysunku 1.
Składowe harmoniczne są to sygnały o częstotliwości stanowiącej całkowitą wielokrotność częstotliwości napięcia wejściowego. Ich zawartość (Z) określa poziom zniekształceń, ponieważ każdy sygnał okresowy składa się tylko z sinusoidy o częstotliwości podstawowej oraz składowych harmonicznych:
gdzie napięcia Un – wartości kolejnych harmonicznych, U1 – wartość sygnału o częstotliwości podstawowej.
Algorytm programu
Algorytm pomiaru zniekształceń nieliniowych składa się z dwóch części: generatora sygnału sinusoidalnego oraz procedury obliczającej poziom zawartości składowych harmonicznych. Do pomiaru składowych wprowadzanych przez zniekształcenia harmoniczne zastosujemy metodę analizy częstotliwościowej, co oznacza, że obliczymy dyskretną transformatę Fouriera. Pozwala nam ona zidentyfikować wartość składowej sygnału o określonej częstotliwości. Ponieważ z obliczeń uzyskujemy wartość w postaci zespolonej, w celu wyznaczenia wartości rzeczywistej należy wyznaczyć moduł owej liczby zespolonej.
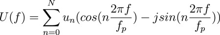
Transformata Fouriera sygnału dyskretnego ma postać:
gdzie:
- f – częstotliwość, dla której wyznaczamy wartość składowej,
- fp – częstotliwość próbkowania,
- un – wartość n-tej próbki.
Jeśli znamy wartość sygnału w postaci zespolonej, czyli składającej się z części rzeczywistej i urojonej, możemy wyznaczyć jej wartość rzeczywistą, która jest modułem danej wielkości.
gdzie:
- Uˆ – wartość zespolona,
- UR – wartość rzeczywista,
- Uℜ – składowa rzeczywista,
- Uℑ – składowa urojona.
W naszym programie wyliczamy tylko wartości dla częstotliwości, których wielokrotnością jest częstotliwość próbkowania (czyli 48 kHz). Najlepiej przyjąć właśnie takie rozwiązanie, gdyż umożliwia ono uzyskanie najdokładniejszego wyniku. Częstotliwość próbkowania ogranicza nam też maksymalną mierzalną składową harmoniczną, która powinna być co najmniej dwa razy mniejsza od tejże częstotliwości. W naszym przypadku przyjąłem 12 kHz. Pomiar wyższych częstotliwości harmonicznych nie jest konieczny, gdyż zazwyczaj zniekształcenia nieliniowe wprowadzają najniższe harmoniczne.