Serwisy partnerskie:
Close icon
Serwisy partnerskie

Konwerter 5 V DC do 48 V DC dla zasilaczy fantomowych

Article Image
Elmax
Układ ten przedstawia prostą i tanią przetwornicę DC-to-DC dla zasilaczy fantomowych używanych w konsoletach mikserskich, przedwzmacniaczach mikrofonowych, systemach telefonicznych i podobnych urządzeniach. Istnieje wiele obwodów aplikacyjnych, które wymagają zasilaczy fantomowych 24 V i 48 V, ale zasilacze DC są drogie i trudno dostępne. Zasilacze 5 V DC są łatwo dostępne przy niskich kosztach. Ten układ przedstawia rozwiązanie konwersji 5 V DC na 48 V DC przy użyciu popularnego układu MC34063A IC.

Obwód i działanie

Schemat ideowy przetwornicy 5 V DC na 48 V DC jest pokazany na rysunku 1. Zbudowany jest on w oparciu o regulator przełączający MC34063A (IC1), dwie diody prostownicze 1N4007 (D1 i D3), diodę Schottky'ego SR1100 (D2), dwie diody LED 5 mm (LED1 i LED2), dwie cewki (L1 i L2) oraz kilka innych elementów.

Rysunek 1. Schemat ideowy przetwornicy 5 V DC na 48 V DC

Do złącza CON1 można podłączyć zasilanie z zakresu od 5 V do 7 V. Bezpiecznik F1 zabezpiecza układ przed wpływem ciągłego nadmiaru prądu. Dioda D1 zabezpiecza układ przed odwrotnym podłączeniem napięcia wejściowego. Rezystor R2 ogranicza maksymalny prąd przełączania do około 1,5 A, jak wynika z zależności:

Rezystor R3 ogranicza prąd dla wbudowanego tranzystora sterującego IC1. Prąd ten powinien być mniejszy niż 100 mA. Częstotliwość pracy układu MC34063A mieści się w zakresie od 40 kHz do 60 kHz i zależy głównie od kondensatora C3. Cewka L1 jest w zakresie od 100 µH do 150 µH dla prądu powyżej 1,8 A.

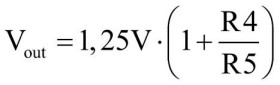
Napięcie wyjściowe wynosi około 48 V i może być regulowane za pomocą R4. Można je obliczyć korzystając z przybliżonej zależności:

Prąd wyjściowy wynosi do około 50 mA, co jest wystarczające dla wielu zastosowań, w tym dla wzmacniaczy mikrofonowych. Napięcie na pinie 5 układu IC1 powinno być równe wewnętrznemu napięciu odniesienia lub wynosić około 1,25 V (1,21 V do 1,29 V). Dioda Schottky'ego D2 powinna mieć napięcie znamionowe co najmniej 100 V. Dioda Schottky'ego lub ultraszybka dioda może być typu SB1A0, SR1100, SS110 lub SR180.

C4 i C5 są pierwszymi kondensatorami filtrującymi. Napięcie tętnień na OUTPUT1 wynosi około 50 mV przy obciążeniu 50 mA, co może być zbyt duże dla niektórych aplikacji. Dlatego też drugie wyjście (OUTPUT2) jest wyprowadzone po filtrze LC. L2 (zwykle od 22 µH do 220 µH dla prądu powyżej 100 mA) i C6 zapewniają dodatkową filtrację napięcia wytwarzanego przez przetwornicę DC-DC.

Możemy korzystać z obu wyjść OUTPUT1 i OUTPUT2 jednocześnie pod warunkiem, że całkowity prąd jest mniejszy niż 60 mA. Układ nie wymaga żadnej regulacji.

Budowa i testowanie

Schemat płytki drukowanej przetwornicy DC-DC jest pokazany na rysunku 2, a rozmieszczenie jej elementów na rysunku 3. Po zmontowaniu układu na płytce drukowanej należy podłączyć zasilanie regulowane 5 V do złącza CON1. Podłączyć diody LED1 i LED2 na płycie czołowej do sygnalizacji stanu zasilania.

Rysunek 2. Układ płytki drukowanej przetwornicy DC-DC
Rysunek 3. Układ elementów na płytce drukowanej

Ten artykuł został po raz pierwszy opublikowany 13 sierpnia 2019 r. i został zaktualizowany 4 marca 2021 r.

DATA SHEET
Do pobrania
Download icon MC34063A IC Download icon Konwerter 5 V DC do 48 V DC dla zasilaczy fantomowych - schemat montażowy i PCB

Artykuł 5V DC To 48V DC Converter For Phantom Power Supplies opracowano w wersji polskiej na podstawie współpracy z portalem www.electronicsforu.com.

Firma:
Tematyka materiału: MC34063A
AUTOR
Źródło
www.electronicsforu.com
Udostępnij
Zobacz wszystkie quizy
Quiz weekendowy
Theremin
1/10 Lew Termen i Leon Theremin to ta sama osoba. Które nazwisko pojawiło się później?
UK Logo
Elektronika dla Wszystkich
Zapisując się na nasz newsletter możesz otrzymać GRATIS
najnowsze e-wydanie magazynu "Elektronika dla Wszystkich"