Serwisy partnerskie:
Close icon
Serwisy partnerskie

Nieco ekstremalny Słuchawkowy wzmacniacz lampowy OTL, część 2

Article Image
Elmax
Zgodnie z zapowiedzią, w drugiej części artykułu zostaną przedstawione dodatkowe cenne informacje.
Uwaga! W układzie występują napięcia groźne dla życia i zdrowia. Osoby niepełnoletnie mogą wykonać, uruchomić i skalibrować układ tylko pod opieką wykwalifikowanych osób dorosłych – nauczycieli.
Light icon

Modyfikacje wzmacniacza

Jak już wspomniano wcześniej, prostota konstrukcji wzmacniacza, bazująca na podstawowych układach pracy triody, umożliwia zastosowanie w układzie rozmaitych lamp. Autor z powodzeniem wypróbował we wcześniejszych wersjach popularne triody ECC81, ECC83, ECC85 oraz 6SN7 (rosyjski odpowiednik 6H8C), a w stopniu prądowym pentody EL84 pracujące w układzie triodowym i ich odpowiedniki 6П14П-ЕВ. Powstał również wzmacniacz na lampach subminiaturowych: triodach 6Н28Б (6N28B) i pentodach 5902 (w układzie triodowym) niewymagający tak wysokich napięć zasilających (co umożliwiło, przy zastosowaniu czterokrotnego powielacza napięcia, użycie w zasilaczu łatwo dostępnego transformatora 2×13V+6,3V o mocy zaledwie 40W).

Aby zastosować inne lampy, należy zmodyfikować wartości niektórych elementów, by ustalić właściwy punkt pracy lamp. W tym celu musimy zapoznać się bliżej ze sposobem używania charakterystyk pracy triody. Przyglądnijmy się rysunkowi 11 przedstawiającemu najprostszy wzmacniacz oporowy ze stałą polaryzacją siatki oraz charakterystyki anodowe triody ECC82 pochodzące z karty katalogowej firmy Philips.

Rysunek 11.

Wyznaczmy linię pracy triody. Gdy napięcie Ug na siatce jest bardzo niskie, trioda nie przewodzi prądu (Ia=0), nie ma spadku napięcia na Ra i napięcie na anodzie Ua jest równe napięciu zasilającemu Ub 230V. Zaznaczmy ten punkt na charakterystyce (punkt A). Gdy trioda jest w pełni otwarta (teoretycznie, bo w praktyce to niemożliwe), to nie ma na niej spadku napięcia, więc Ua=0V, a prąd Ia jest ograniczony tylko wartością rezystora Ra i wynosi 10mA (punkt D). Połączmy oba punkty - linia czerwona. Zaznaczmy punkt przecięcia linii pracy z pierwszą charakterystyką anodową odpowiadającą napięciu Ug=0V (punkt C). Punkt ten wyznaczy maksymalny prąd anodowy i minimalny spadek napięcia na triodzie. Jednocześnie widzimy, że trioda przestanie przewodzić prąd przy napięciu siatki Ug nieco poniżej -16V. Przyjmujemy napięcie Ug równe połowie tej wartości, czyli -8V, co pozwoli uzyskać największą możliwą amplitudę zmian napięcia na siatce i tym samym na anodzie. Punkt przecięcia linii pracy z charakterystyką anodową odpowiadającą temu napięciu Ug jest punktem spoczynkowym pracy naszego układu - punkt B. Teraz możemy graficznie wyjaśnić...

...skąd się bierze charakterystyczne lampowe brzmienie?

Powszechnie uważa się, że za specyficzne brzmienie wzmacniacza lampowego odpowiadają zniekształcenia dźwięku, jakie wprowadza, skutkujące powstaniem parzystych harmonicznych. Tak faktycznie jest, ale to tylko część prawdy. 

Na wyznaczonej wcześniej linii pracy (rysunek 11) zaznaczono czerwonymi kropkami punkty przecięcia ze wszystkimi krzywymi oznaczającymi kolejne napięcia Ug. Zwróćmy uwagę, że licząc od lewej, odstępy między nimi na linii pracy są coraz mniejsze. Poniżej charakterystyki anodowej naniesiona jest ta zależność napięcia anodowego Ua od napięcia siatki sterującej Ug (krzywa pomarańczowa) - nie tworzy ona linii prostej, zależność nie jest liniowa. Wskutek tego, gdy na siatkę podamy przebieg sinusoidalny, na anodzie uzyskamy dużą asymetrię połówek górnej i dolnej (krzywa zielona). Mimo że napięcie sterujące ~Ug zmienia się symetrycznie względem punktu spoczynkowego w zakresie ±8V, to napięcie na anodzie dla dodatniej połówki zmienia się w przybliżeniu o 100V, a dla ujemnej połówki tylko o 54V. Takie zniekształcenie sinusoidy generuje przede wszystkim dużą liczbę parzystych harmonicznych, głównie drugą. Druga harmoniczna jest to dźwięk podniesiony o oktawę w stosunku do częstotliwości źródłowej (zgodnie brzmiący - konsonans), z tego powodu wzmacniacz oporowy na triodzie wywołuje efekt dźwięku bogatszego i cieplejszego. 

Zawartość drugiej harmonicznej można w przybliżeniu określić z długości odcinków linii pracy: 

Przypatrzmy się widmu częstotliwości sygnału na wyjściu naszego wzmacniacza przy maksymalnej amplitudzie napięcia na wyjściu - rysunek 12. Czerwone pola to sygnał 300Hz podany na wejście, a niebieskie to sygnał na wyjściu. Widać bardzo duży wzrost poziomu drugiej harmonicznej przy znikomym wzroście kolejnych. Dla większości triod poziom tych zniekształceń jest proporcjonalny do amplitudy sygnału, toteż najwięcej zniekształceń generuje zazwyczaj ostatni stopień wzmacniacza. 

Rysunek 12.

Jest też drugi, równie ważny skutek takiego charakteru pracy wzmacniacza oporowego. Zmniejszenie amplitudy jednych połówek wzmacnianego sygnału powoduje, że różnica wartości średniej górnych i dolnych połówek nie wynosi już zero, jak dla symetrycznego przebiegu. Odpowiada to pojawieniu się składowej stałej w sygnale, która powoduje dynamiczne przesuwanie punktu pracy triody, tym bardziej, im większa jest amplituda sygnału i pozom asymetrii, a to zmienia parametry lampy zależne od punktu pracy. Zależności te dla triody ECC82 możemy prześledzić na rysunku 13 pochodzącym z karty firmy Tesla. 

Rysunek 13.

We wzmacniaczu powstaje efekt kompresora - wzmocnienie jest różne dla dźwięków o różnej amplitudzie. I tu dochodzimy do sedna, bowiem uważa się, że to zjawisko wpływa bardziej na efekt nazywany lampowym brzmieniem wzmacniacza niż samo produkowanie harmonicznych parzystych.

Popatrzmy raz jeszcze na rysunek 11. Zawiera on dwie dodatkowe linie pracy. Pierwsza, jasnozielona, odpowiada zastosowaniu rezystora anodowego o znacznie większej wartości Ra=80kΩ, bez zmiany napięcia Ug i punktu pracy. Wymagało to jednocześnie podniesienia napięcia Ub do 375V. Teraz punkty przecięcia z krzywymi napięć Ug są rozmieszczone znacznie bardziej równomiernie - zniekształcenia będą mniejsze. Jeszcze większą równomierność, a więc i mniejsze zniekształcenia uzyskamy, podnosząc Ub, lecz bez zmiany Ra i Ug, a tym samym zwiększając prąd anodowy i przesuwając punkt spoczynkowy do miejsca B1 (linia ciemnozielona). Zwróćmy uwagę na to, że linia pracy przebiega teraz blisko krzywej dopuszczalnej mocy anodowej Wa, a napięcie zasilające Ub przekracza 450V. Potwierdza to znaną regułę, że najmniejsze zniekształcenia wzmacniacz triodowy uzyska przy pracy z maksymalną mocą anodową lampy i przy dużych napięciach.

Wniosków z powyższych wywodów płynie kilka. Wybór typu użytej lampy na pewno ma wpływ na brzmienie triodowego wzmacniacza oporowego (i na poziom zniekształceń), ale w równym, a może nawet większym stopniu wpływ na brzmienie ma właściwy dobór rezystora anodowego i punktu pracy triody. Chcąc zapewnić najwyższą jakość dźwięku, musimy maksymalnie wytężyć lampę, co wiąże się z pracą przy dużych mocach anodowych i napięciach zasilających. Jeśli chcemy uzyskać wyraźne lampowe brzmienie, czyli specyficzne zniekształcenia, to poza doborem odpowiednich warunków pracy, przynajmniej jeden stopień wzmacniacza powinien pracować z dużą amplitudą sygnału. Wówczas możemy uzyskać zarówno duży poziom parzystych harmonicznych, jak i efekt kompresji.

Mając tę wiedzę, możemy zaprojektować własny wzmacniacz.

Projekt wzmacniacza 

Projekt należy zacząć od końca, czyli określić, jaką moc wyjściową powinien zapewnić wzmacniacz. Do jej określenia należy znać skuteczność słuchawek (efektywność) podawaną w dB/mW lub dB/V. Największą skuteczność osiągają słuchawki douszne - rzędu 110dB/mW i więcej, a najniższą charakteryzują się starsze konstrukcje słuchawek otwartych - nawet poniżej 90dB. Aby wiedzieć, jak to się przekłada na potrzebną moc wzmacniacza, musimy określić jeszcze natężenie dźwięku (SPL), jakie chcemy uzyskać. Zapewniając sobie wrażenia słuchowe, jak na typowym koncercie rockowym, będziemy wymagali wartości szczytowych na poziomie 110dB. 

Pamiętaj! Długotrwałe słuchanie dźwięków o wysokim natężeniu prowadzi do stopniowej nieodwracalnej utraty słuchu!

Dla słuchawek o impedancji 32Ω i spotykanym zakresie skuteczności wartości mocy, prądów i napięć przedstawia tabela 2.

Tabela 2.

Policzmy wymagania dla stopnia końcowego. Jak wynika z tabeli, w skrajnym przypadku dla uzyskania mocy 100mW na słuchawkach o impedancji 32Ω potrzebujemy napięcia 1,79V i prądu 56mA. Są to wartości skuteczne. Nas interesują wartości szczytowe, które dla sygnałów sinusoidalnych są większe o pierwiastek z 2 i wynoszą odpowiednio 2,52Vp i 79mAp (przyjmijmy 2,5V i 80mA). Amplituda międzyszczytowa zmian prądu wyniesie więc 160mApp, zaś napięcia 5Vpp. 

Niską oporność wyjściową i dużą wydajność prądową zapewni wtórnik katodowy i w takim układzie pracują lampy V3 i V4. Jest to jednocześnie układ najprostszy, czyli z automatyczną polaryzacją siatki - spadek napięcia na rezystorze katodowym R20 ustala ujemne napięcie polaryzujące siatkę sterującą (względem katody, gdyż siatka poprzez rezystor R16 ma potencjał masy). Rezystor katodowy powinien mieć odpowiednią do tej funkcji wartość rezystancji tak dobraną, by spadek napięcia na nim był nie mniejszy (może być większy - nie jest to przeszkodą) niż wymagane napięcie polaryzacji siatki dla wybranego spoczynkowego punktu pracy. Jednocześnie wartość rezystora dobieramy ze względu na przebieg linii pracy, podobnie jak rezystora anodowego dla analizowanej wcześniej lampy ECC82. Ponadto z jednej strony rezystancja ma być możliwie mała, by ograniczyć do minimum wydzielaną w nim moc, a z drugiej strony ma być na tyle duża, by zminimalizować jej wpływ na zmniejszenie wzmocnienia napięciowego wtórnika i straty mocy sygnału użytecznego, ponieważ dla prądów zmiennych rezystor ten połączony jest równolegle ze słuchawkami. Jak widać, część tych warunków jest ze sobą sprzeczna i nie ma jedynie słusznej recepty. Przyjęto wstępnie, że wartość tego rezystora powinna być co najmniej 10-krotnie większa od obciążenia 32Ω, by zmarginalizować wpływ tego rezystora na sygnał użyteczny. Najbliższa handlowa wartość to 330Ω.

Po tej decyzji wyznaczmy przybliżony punkt pracy lampy. Z dobrym skutkiem można to zrobić metodą graficzną na charakterystykach siatkowych triody. Zakres zmian napięcia na obciążeniu jest niewielki (5Vpp) w stosunku do typowych napięć anodowych lampy 6N13S, więc napięcie Ua=90V powinno być wystarczające. Z charakterystyki siatkowej lampy 6N13S (rysunek 14) odczytujemy, że dla 90V najbardziej liniowy zakres pracy rozpoczyna się od ok. 30mA prądu anodowego. 

Rysunek 14.

Po uwzględnieniu faktu, że dla prądów zmiennych rezystor katodowy jest połączony równolegle z obciążeniem, wymagana amplituda prądu anodowego wyniesie 171mApp. Po zsumowaniu z minimalnym prądem spoczynkowym wartość szczytowa prądu przekracza 200mA i wychodzi poza wykres. Uzyskanie takiej amplitudy prądu może być niemożliwe. Prąd spoczynkowy Ia powinien wynosić nie mniej niż 120mA, czyli blisko dopuszczalnej wartości prądu 130mA. A jeśli zajdzie potrzeba podniesienia napięcia anodowego, to już przy 109 woltach tracona na anodzie moc przekroczy dopuszczalną wartość maksymalną 13W. Ponadto szczytowa wartość amplitudy napięcia sterującego ~Ug niebezpiecznie zbliża się do zera, co grozi pojawieniem się prądu siatki i znacznym obciążeniem poprzedniego stopnia skutkujące silnymi zniekształceniami. Pamiętajmy, że to szacunki przybliżone, bo charakterystyka siatkowa wyznaczana jest dla stałego napięcia Ua (napięcia między anodą i katodą), a we wtórniku napięcie na katodzie zmienia się przecież w takt zmian wzmacnianego prądu zmiennego, co powoduje zmianę warunków pracy.

Rozwiązaniem jest równoległe połączenie dwóch triod dla zwiększenia wydajności prądowej układu. Przy takim połączeniu para triod zachowuje się jak trioda o dwukrotnie mniejszej rezystancji Ri i dwukrotnie większej transkonduktancji S, co należy uwzględnić w obliczeniach. Bez zmian pozostaje współczynnik wzmocnienia napięciowego µ. Wyznaczmy ponownie przybliżony punkt pracy jednej triody (rysunek 15).

Rysunek 15.

Tym razem przez jedną triodę będzie płynąć tylko połowa prądu, więc statyczny punkt pracy może być wyznaczony dla Ia=72mA. Obliczamy wartość napięcia Ug polaryzującego siatkę przy prądzie anodowym 72mA, pamiętając, że w rezystorze katodowym zsumuje się prąd dwóch triod:

Dla takiego napięcia Ug, by przez triodę popłynął wymagany prąd, trzeba zwiększyć napięcie anodowe Ua do wartości 105V (dorysowana krzywa niebieska). Można też zmniejszyć wartość rezystora Rk, ale wtedy nie spełnimy przyjętego wcześniej założenia Rk ≥ 320Ω.

Obliczamy wymaganą wartość napięcia zasilającego Ub:

Wyznaczmy dokładnie rzeczywisty punkt pracy jednej triody dla powyższych założeń, używając charakterystyk anodowych (Rysunek 16). Ze względu na zastosowane diody Zenera w zasilaczu napięcie Ub wyniesie 145V. Ponadto w obwodzie znajdą się rezystory anodowe R19 i R21 o wartości 100Ω, a rzeczywista zmierzona wartość rezystorów katodowych R20 to 310Ω.

Rysunek 16.

Gdy lampa jest całkiem zatkana, napięcie na niej będzie równe Ub. Zaznaczamy punkt A na osi napięcia Ua w miejscu 145V. Gdy trioda będzie teoretycznie całkowicie otwarta, to spadek napięcia wyniesie na niej 0V, a prąd Ia jest ograniczony wartością Rk (R20) oraz rezystorem R19 lub R21:

Zaznaczamy tę wartość na osi pionowej - punkt B i łączymy oba punkty wyznaczając linię pracy triody (pamiętajmy, że prąd rezystora R20 rozdziela się na dwie triody - stąd dwójka w mianowniku).

Znajdujemy punkt pracy stałoprądowej. Przy automatycznej polaryzacji napięcie polaryzujące siatkę nie jest stałe, lecz jest wynikiem spadku napięcia na rezystorze katodowym. Obliczamy więc, jaki prąd popłynie przez R20 przy kolejnych napięciach siatki Ug, dla których mamy charakterystyki na rysunku 16. Wystarczą trzy napięcia 0V, -20V i -40V. Będzie to odpowiednio punkt zerowy wykresu oraz punkt C: Ia=32mA i punkt D: Ia=64mA. Łączymy punkty (linia niebieska, przy czym odcinki niekoniecznie muszą utworzyć linię prostą). Punkt E przecięcia obu linii wyznacza punkt pracy stałoprądowej. Odczytujemy wartości prądu i napięcia w tym punkcie wynoszące: Ia=62mA i Ua=98V. Wartości wyszły nieco mniejsze od planowanych. Czym to skutkuje w pracy wzmacniacza, to już wiemy. Czy należy to korygować? Pomiary i odsłuch wykazały, że korekta nie jest konieczna.

Popatrzmy teraz na schemat, gdzie kolorem czerwonym naniesiono wartości napięć zmierzone w rzeczywistym układzie. Prawie dokładnie pokrywają się z odczytanymi z naszego wykresu: różnica napięć między anodą a katodą Uak to: 

A prąd anodowy jednej triody wynosi: 

Dla porządku wyznaczmy jeszcze linię pracy dla napięć zmiennych. Pierwszy punkt już mamy - to spoczynkowy punkt pracy E. Teraz należy sprawdzić, o ile zmieni się prąd anodowy przy zmianie napięcia na katodzie o pewną niewielką wartość np. 10V, jednocześnie uwzględniając, że dla prądów zmiennych rezystor katodowy jest połączony równolegle ze słuchawkami oraz rezystancją wewnętrzną dwóch triod:

Symbol || oznacza równoległe połączenie elementów. Rezystancję wewnętrzną jednej triody Ri obliczamy z charakterystyki anodowej (rysunek 17), sprawdzając, jaką zmianę prądu anodowego Ia wywoła określona niewielka zmiana napięcia anodowego Ua przy stałym napięciu Ug. Wielkość tę należy wyznaczyć w pobliżu punktu pracy, gdyż Ri zmienia się wraz ze zmianą nachylenia charakterystyki anodowej.

Rysunek 17.

Przy zmianie napięcia o 10V prąd anodowy jednej triody zmieni się o wartość:

czyli w sumie wzrośnie do 62mA+198mA=260mA. Nanieśmy na wykres punkt F odpowiadający tej zmianie (rysunek 16). Rzeczywista amplituda napięcia zmiennego ma wynosić 2,5Vp, więc zmiana prądu będzie czterokrotnie mniejsza i wyniesie w zaokrągleniu 50mA. Ciągła linia zielona na rysunku 16 pokazuje linię pracy dla przebiegów zmiennych prądu. Jak widać, silne obciążenie wtórnika słuchawkami o niskiej impedancji wywiera ogromny wpływ na odchylenie linii pracy od linii stałoprądowej i to stopień prądowy ma decydujący wpływ na zniekształcenia wzmacniacza, co potwierdzają pomiary.

Wzmacniacz napięciowy. Znów zaczynamy od końca, czyli obliczamy napięcie wyjściowe, potrzebne do wysterowania triod V3. Teoretycznie wtórnik katodowy ma wzmocnienie bliskie jedności. Jest to prawdziwe jedynie w przypadku, gdy spełniona jest zależność RL >> Rk >> Ri . Tymczasem w naszym układzie będzie wręcz przeciwnie, rezystor katodowy Rk będzie miał wartość porównywalną bądź mniejszą od rezystancji wewnętrznej lampy Ri, a obciążenie RL jest o rząd wielkości mniejsze. Zatem wzmocnienie wyniesie:

Transkonduktancję S jednej triody wyznaczamy z nachylenia charakterystyki siatkowej dla przyjętego punktu pracy (rysunek 15):

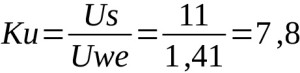
Wartość wzmocnienia jest znacząco niższa od jedności i w praktyce pomiary rzeczywistego układu dają podobny wynik - zmierzone Ku wynosi 0,2.

Dla uzyskania na wyjściu amplitudy 2,5Vp na siatki triod należy podać napięcie:

Przyjmijmy 11Vp. Takie napięcie musi dostarczyć wzmacniacz napięciowy, obliczmy jego minimalne wzmocnienie napięciowe. Aby je określić, należy znać jeszcze napięcie, jakie dostarczy na wejście źródło sygnału. Nie ma jednolitego standardu, rozrzut tego napięcia jest bardzo duży: gramofon, magnetofon czy radio to zazwyczaj 300...600mV, odtwarzacz CD to 1...2V, a komputerowe karty dźwiękowe, smartfony itp. to 1...3V. Ponadto producenci wedle uznania podają wartości RMS, szczytowe lub nawet międzyszczytowe.

Ponieważ wzmacniacz ma współpracować głównie z odtwarzaczem CD i mp3, do dalszych obliczeń przyjęto Uwe=1V. Wartość szczytowa tego napięcia to 1,41Vp. Minimalne wymagane wzmocnienie to:

Wynik należy zwiększyć dwukrotnie z uwagi na tłumienie stałe regulacji barwy dźwięku wynoszące ok. 6dB. Przyjmujemy więc Ku=16. Ponieważ wypadkowe wzmocnienie wzmacniacza napięciowego jest iloczynem wzmocnienia obu stopni, wzmocnienie jednego stopnia musi wynieść jedynie 4. Oczywiście nic nie stoi na przeszkodzie, by wykonać wzmacniacz z większym wzmocnieniem, lecz jego ograniczenie korzystnie wpływa na zmniejszenie zniekształceń i szumów, a także zmniejsza prawdopodobieństwo wzbudzania się wzmacniacza.

Obliczmy teraz elementy drugiego stopnia wzmacniacza napięciowego (trioda V2A). Dla podstawowego wzmacniacza oporowego z automatyczną polaryzacją siatki typowa procedura to: wybór lampy i dobór rezystora anodowego Ra w zależności od wymaganego wzmocnienia, wybór punktu pracy zależnie od amplitudy zmian napięcia na anodzie i dopuszczalnych zniekształceń, ustalenie napięcia zasilającego Ub i wartości rezystora katodowego Rk dla uzyskania tego punktu.

Dla każdej lampy w jej karcie katalogowej znajdziemy typowe warunki pracy, są one dobrym punktem wyjściowym do dalszych obliczeń. Dla lampy ECC82 znajdują się w tabeli, której fragment dla rezystora Ra=47kΩ przedstawia rysunek 18.

Rysunek 18.

Ze względu na niewielkie wymagane wzmocnienie, rezystor anodowy może mieć najniższą z proponowanych wartości, czyli Ra=47kΩ. Amplituda napięcia na wyjściu drugiego stopnia napięciowego ma osiągnąć 11Vp, czyli 22Vpp, co wymaga zmian prądu Ia:

ΔIa=2*11Vp/47kΩ=0,468mA

Podobnie jak dla triody 6N13S, na charakterystyce siatkowej ECC82 (rysunek 19) możemy wstępnie sprawdzić, że osiągniecie zmian o niecałe 0,5mA nie będzie problemem nawet przy najniższym napięciu anodowym Ua=100V.

Rysunek 19.

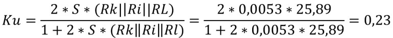
Wykorzystując dane katalogowe, obliczmy teoretyczne wzmocnienie pojedynczego stopnia Ku, zakładając, że rezystor katodowy Rk jest dla prądów zmiennych zwierany do masy kondensatorem 50µF jak na rysunku 18. Uwzględniamy obciążenie triody elementami kolejnego stopnia, w tym przypadku potencjometrem POT_VOL i rezystorem siatkowym R16, które dla prądów zmiennych łączą się równolegle z rezystorem anodowym Ra.

Z powyższego wzoru widać, jak wartość rezystora anodowego wpływa na wzmocnienie wzmacniacza oporowego - wzmocnienie zawsze będzie mniejsze od współczynnika wzmocnienia μ. Nadmierne zwiększanie wartości Ra ponad Ri nie przynosi znaczącego wzrostu wzmocnienia, a jeśli nie zwiększa się równocześnie napięcia zasilającego Ub, to powoduje zmniejszanie prądu anodowego i przejście punktu pracy w obszar mniej nachylonej charakterystyki siatkowej, gdzie maleją S i µ, a w konsekwencji wzmocnienie. Ponadto bardzo duże wartości Ra tworzą z pojemnościami elektrod triody tego i następnego stopnia filtr RC dolnoprzepustowy, ograniczając od góry pasmo przenoszonych częstotliwości. Z podanych dotychczas informacji można słusznie wywnioskować, że dobór rezystora Ra i statycznego punktu pracy jest zawsze kompromisem pomiędzy: wzmocnieniem, poziomem zniekształceń, trwałością lampy i pasmem przenoszonych częstotliwości.

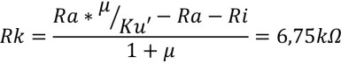
Zazwyczaj nie stosuje się wartości rezystora Ra większych od (4÷5)*Ri. Jak później wyliczymy dla przyjętego punktu pracy, rezystancja Ri wyniesie około 10kΩ, więc Ra o wartości 47kΩ to optymalne maksimum. My chcemy zmniejszyć wzmocnienie, więc moglibyśmy zmniejszyć wartość Ra, ale korzystniej jest dodać lokalne ujemne sprzężenie zwrotne, czyli usunąć kondensator 50µF zwierający rezystor katodowy Rk. Wzmocnienie Ku’ w układzie z ujemnym sprzężeniem będzie mniejsze zgodnie ze wzorem:

Po przekształceniu wyliczymy wartość rezystora Rk dla wzmocnienia Ku’=4:

Wartość ta jest przybliżona, ponieważ nieznany jest jeszcze punkt pracy i od niego zależne wartości Ri oraz µ. Na charakterystyce anodowej wyznaczamy rzeczywisty punkt pracy stałoprądowej tak samo jak dla lampy 6N13S - rysunek 20. Przyjmujemy wstępnie typową wartość Ub=250V.

Rysunek 20.

Najpierw wyznaczmy punkty A, B i linię pracy (linia czerwona), uwzględniając fakt, że dla prądu stałego rezystor anodowy to połączone szeregowo R11 i R15, a następnie wyznaczamy linię dla wyliczonej wartości rezystora katodowego Rk (linia zielona przerywana). Przecięcie obu linii, czyli punkt pracy (C) wypadł bardzo nisko - prąd anodowy poniżej 1,5mA. Już wiemy, że przy tak niskim prądzie trioda będzie pracować w silnie nieliniowym obszarze. Najprościej będzie zwiększyć prąd anodowy przez zmniejszenie napięcia siatkowego Ug. W tym celu należy podzielić rezystor katodowy na dwa, jak na schemacie na rysunku 2a - rezystory R12 i R13. W takim układzie o napięciu polaryzującym siatkę decyduje tylko wartość rezystora R12. Zmieniając proporcje tych rezystorów, ale bez zmiany sumarycznej rezystancji, możemy w dużym zakresie przesuwać punkt pracy triody. Z charakterystyk odczytujemy, że dla uzyskania prądu Ia=3mA napięcie Ug powinno wynosić około -3V, a więc R12 musi mieć wartość 1kΩ i taka wartość jest na schemacie na rysunku 2a. Dla rezystora R13 pozostało 5,75kΩ, przyjęto nieco mniejszą handlową wielkość 5,1kΩ. Dla R12=1kΩ wyznaczmy ponownie linię Rk (niebieska). Punkt pracy będzie w punkcie D: Ia=3mA, Ua=85V. Znów możemy sprawdzić, jak się ma teoria i praktyka - ze zmierzonych napięć w rzeczywistym układzie (rysunek 2) wyliczamy prąd anodowy Ia=UR13/R13=14,9V/5,1kΩ=2,8mA oraz napięcie Uak=101V-17,7V=83,1V - to blisko wyznaczonych wartości. Teraz możemy na charakterystykach anodowych określić rezystancję wewnętrzną triody Ri dla punktu spoczynkowego D, tak samo jak dla triody 6N13s na rysunku 17.

Ponieważ nie mamy charakterystyki dla napięcia Ug=3V, możemy to zrobić dla charakterystyk sąsiednich i obliczyć wartość średnią Ri, tu wynoszącą około 10,5kΩ, a następnie powtórzyć obliczenia i ewentualnie skorygować wartości rezystorów.

Dla pierwszego stopnia (trioda V1) przyjęto identyczne wartości elementów jak dla triody V2. 

Wartości rezystorów siatkowych Rg (R1, R10, R16 na rysunku 2) przyjmuje się zazwyczaj na tyle duże, by nie obciążały w sposób istotny poprzednich stopni wzmacniacza, czyli co najmniej o rząd wielkości większe od wartości rezystora anodowego Ra. Nie należy jednak przesadzać z ich wielkością, gdyż po pierwsze szumy własne rezystora rosną z wartością rezystancji, po drugie zbyt duże wartości zmniejszają stabilność układu, gdyż w rzeczywistości przez siatkę triody zawsze płynie jakiś niewielki prąd, który na rezystorze siatkowym wywoła spadek napięcia sumujący się z napięciem Ug i tym samym przesuwający punkt pracy lampy. Przy dużych wartościach Rg, rzędu megaomów, te spadki napięcia sięgają pojedynczych woltów, dlatego w kartach katalogowych każda lampa ma określoną maksymalną wartość rezystora siatkowego. Nie należy jej przekraczać.

Na koniec dodam, że zmieniając parametry pracy lamp nie należy się spodziewać nadzwyczaj spektakularnych zmian w brzmieniu wzmacniacza. Zmiany są zauważalne ale jednocześnie bardzo subtelne.

Zachęcam do eksperymentów! 

Obszerna baza kart katalogowych lamp elektronowych znajduje się pod adresem: https://frank.pocnet.net, polski mirror: http://www.frank.mif.pg.gda.pl.

Firma:
Tematyka materiału: AVT3290, SŁUCHAWKOWY WZMACNIACZ LAMPOWY OTL, ECC82, 6N13S, EM80
AUTOR
Źródło
Elektronika dla Wszystkich luty - marzec 2021
Udostępnij
Zobacz wszystkie quizy
Quiz weekendowy
Theremin
1/10 Lew Termen i Leon Theremin to ta sama osoba. Które nazwisko pojawiło się później?
UK Logo
Elektronika dla Wszystkich
Zapisując się na nasz newsletter możesz otrzymać GRATIS
najnowsze e-wydanie magazynu "Elektronika dla Wszystkich"