Serwisy partnerskie:
Close icon
Serwisy partnerskie

Wejściowe straty odbiciowe w złączach

Article Image
Zadane reflektancją S11 wejściowe straty odbiciowe charakteryzuje stosunek sygnału odbitego do sygnału padającego. W ich rezultacie do odbiornika dociera pomniejszona część emitowanego sygnału, co nie jest pożądane i może doprowadzić do uszkodzenia źródła tego sygnału. W przypadku złączy straty odbiciowe stanowią niezwykle ważne kryterium, które umożliwia odróżnianie od siebie dobrych oraz złych ich egzemplarzy. Przyjrzyjmy się bliżej tym stratom, aby zrozumieć zagadnienie.

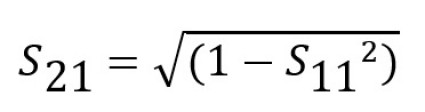
Z definicji wyrażana w decybelach reflektancja S11 związana jest z transmitancją S21 według zależności z rysunku 1, której wykres przedstawiono na rysunku 2. Jak nietrudno zauważyć, w celu uzyskania spadku transmitancji S21 o wartość 0,5 dB, potrzebny jest spadek reflektancji w obrębie 10 dB. Na tej podstawie określono znormalizowaną wartość dopuszczalną S11, czyli wartość poniżej -13 dB. Większa wartość S11 zaczyna mieć wysoki wpływ na sygnał padający. Utrzymywanie strat odbiciowych poniżej poziomu -13 dB oznacza, że sygnały odbite stają się, w praktyce, nieznaczące.

Rysunek 1 - Zależność transmitancji S21 od reflektancji S11
Rysunek 2 - Wykres zależności z rysunku 1

Warto pamiętać, że wartość reflektancji S11 powyżej -13 dB może być kluczowa w kontekście strat wtrąceniowych. Na rysunkach 3 i 4 widnieją przykładowe przebiegi reflektancji S11 oraz transmitancji S21 dla linii mikropaskowej o długości 4" i impedancji 50 Ω - z innymi złączami na końcach. Póki reflektancja S11 nie jest duża, zmiany w transmitancji S21 też nie są duże.

Rysunek 3 - Przebiegi reflektancji S11 i transmitancji S21 dla linii mikropaskowej
zakończonej wadliwymi egzemplarzami złącza
Rysunek 4 - Przebiegi reflektancji S11 i transmitancji S21 dla linii mikropaskowej
zakończonej dobrymi egzemplarzami złącza

W większości specyfikacji kryterium doborów złączy stanowi wartość reflektancji S11 będąca rzędu -13 dB. Dla "dobrych" egzemplarzy złączy wartość ta jest mniejsza od wspomnianej. W przeciwnym razie są one "wadliwe" i można je stosować tylko pod określonymi warunkami. W szczególności chodzi o zakres częstotliwości, w obrębie którego złącze jest "przezroczyste" z punktu widzenia sygnałów.

Firma: Connector Tips
Tematyka materiału: S11, S21, straty odbiciowe, straty wtrąceniowe, sygnały, złącza
AUTOR
Źródło
connectortips.com
Udostępnij
Zobacz wszystkie quizy
Quiz weekendowy
Theremin
1/10 Lew Termen i Leon Theremin to ta sama osoba. Które nazwisko pojawiło się później?
UK Logo
Elektronika dla Wszystkich
Zapisując się na nasz newsletter możesz otrzymać GRATIS
najnowsze e-wydanie magazynu "Elektronika dla Wszystkich"