- Napięcie zasilające 20...40 V DC.
- Maksymalny prąd diod LED: 20 A (60 jasnych diod LED).
- Napięcie zasilające: 12…40 V.
- Budowa modułowa – osobno płytki sterownika i diod LED.
- Obudowa KM-95.
- Sterowanie za pomocą interfejsu DMX.
Pod względem budowy sterownik lampy RGB jest zbliżony do sterownika listew RGB opisanego w EP 2/2014 (AVT5435). Diody RGB są zasilane za pomocą specjalnego źródła prądowego, które gwarantuje optymalne warunki ich pracy nawet przy zmianach napięcia zasilania.
Budowa i zasada działania
Układy cyfrowe są zasilane ze stabilizatora impulsowego U1 zbudowanego z użyciem popularnego układu scalonego MC34063ACD. Dzięki temu napięcie zasilania układu, a co za tym idzie – diod LED, może sięgać 40 V, a stabilizator nie będzie nadmiernie się grzał, co miałoby miejsce przy zastosowaniu stabilizatora liniowego. Układ U2 generuje ujemne napięcia zasilania na potrzeby wzmacniaczy operacyjnych.
Dane sterujące DMX są odbierane za pomocą U6 (interfejs warstwy fizycznej – MAX485), a następnie dekodowane za pomocą mikrokontrolera ATmega88PA (U5). Generuje on sygnały PWM sterujące źródłami prądowymi. Zbudowano z użyciem wzmacniaczy operacyjnych i tranzystorów MOS. Dzięki temu można zastosować rezystory o małej rezystancji, przez co straty energii nie są duże. Dzięki niskiej rezystancji kanału w stanie przewodzenia zastosowanych tranzystorów MOS, również i na nich nie występują duże straty, dzięki czemu radiator jest niepotrzebny. Prąd źródła zależy od napięcia na wejściu nieodwracającym wzmacniacza operacyjnego oraz wartości rezystancji włączonej szeregowo ze źródłem tranzystora.
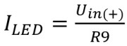
Przykładowo, dla kanału „zielonego” (PwmG) sterownika, prąd obciążenia źródła prądowego zasilającego zielone diody LED wyraża się wzorem:
gdzie:
Uin+ – napięcie na wejściu nieodwracającym wzmacniacza.
R9 – rezystancja w obszarze drenu.
Co oczywiste, moc traconą na rezystancji R9 można wyznaczyć jako: P = UR9×ILED.
Prądu zasilającego z komórek zaznaczonych na czerwono nie da się uzyskać, ponieważ doprowadziłoby by to do uszkodzenia tranzystora wyjściowego. Pomarańczowe nie są zalecane z powodu dużych strat mocy i/lub konieczności pogrubienia ścieżek. Parametry z żółtych pól da się uzyskać po zmianie rezystancji R7, R8 i R12. Dla napięcia 2 V na wejściu nieodwracającym wzmacniacza należy użyć 15 kΩ, dla 3 V – 6,8 kΩ, 4 V – 2,4 kΩ, dla 5 V 0 Ω. Rezystory te wraz z kondensatorami C12, C13 i C14 tworzą filtr RC.
W projekcie zastosowano kondensatory C12…C14 w celu ewentualnego zlikwidowania szkodliwych oscylacji, jednak testowanie prototypu wykazało, że nie są one konieczne i nie należy ich montować. Ich zastosowanie spowodowałoby złagodzenie zboczy sygnału PWM lub wręcz (przy dużej stałej czasowej) powstanie składowej stałej.
Kondensatorów C15, C16, C17 można nie montować, ale dzięki nim podczas pomiarów obraz na oscyloskopie jest wyraźniejszy. Nie trzeba zabezpieczać bramek tranzystorów przed przekroczeniem napięcia Vgs (zależnie od tranzystora 12…20 V), ponieważ tranzystor będzie już w pełni otwarty przy napięciu na bramce około 6,2 V i wzmacniacz operacyjny nie pozwoli na dalszy wzrost napięcia.
Płytka LED, poza diodami świecącymi, zawiera rezystory wyrównawcze włączone szeregowo w każdej gałęzi. Ponadto, dodano też rezystory 1 kΩ włączone równolegle w każdą gałąź LED. Bez nich nie dałoby się całkowicie wyłączyć diod LED, bo nawet przy napięciu 0 V na wejściu źródła prądowego płynie przez nie pewien minimalny prąd, który wystarcza do lekkiego świecenia diod.
Diody LED ułożono w „mozaikę”, taką jak telewizorach i monitorach CRT. Dzięki temu punkty o tej samej barwie nie układają się w linię poziomą, pionową lub ukośną i obiekt jest oświetlany równomiernie. Diody nie są sterowane liniowo.
Wykorzystano korektę gamma, dzięki czemu płynne rozjaśnianie lub ściemnianie wygląda bardziej naturalnie.