Serwisy partnerskie:
Close icon
Serwisy partnerskie

Obracające się światła LED używane w celach dekoracyjnych

Article Image
Elmax
W niniejszym projekcie zrealizowano obracające się koło ze światłami LED, które mogą być używane do dekoracji sal publicznych podczas imprez, festiwali i wesel. Koncepcja opiera się na bezwładności wzroku.

W niniejszym projekcie zrealizowano obracające się koło ze światłami LED, które mogą być używane do dekoracji sal publicznych podczas imprez, festiwali i wesel. Koncepcja opiera się na bezwładności wzroku.

Układ i działanie

Prototyp autora jest pokazany na fotografii głównej, a schemat obwodu na rysunku 1. Zbudowany jest on z transformatora środkowo-zaciskowego 12 V-0-12 V, 500 mA step-down (X1), dwóch diod prostowniczych 1N4007 (D1 i D2), stabilizatora napięcia 5 V 7805 (IC1), timera NE555 (IC2), licznika dekadowego 4017B (IC3) oraz trzydziestu diod LED 5 mm (LED1 do LED30).

Rysunek 1. Schemat połączeń dla obrotowego koła LED

Regulowane zasilanie układu pochodzi z prostownika pełnofalowego zbudowanego z diod (D1 i D2), transformatora X1, regulatora 5 V 7805 (IC1) oraz dwóch kondensatorów (C1 i C2). Regulowane wyjście 5 V z IC1 jest wykorzystywane do zasilania obwodów timera i licznika.

Licznik dekadowy 4017B (IC3) ma dziesięć wyjść (Q0 do Q9). Każde wyjście przechodzi w stan wysoki po otrzymaniu wejścia zegarowego na jego pin 14. Dziesięć wejść zegarowych jest wymaganych, aby wszystkie dziesięć wyjść osiągnęło stan wysoki. Każde wyjście pozostaje w stanie wysokim przez pełny cykl zegara.

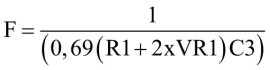
Timer NE555 (IC2), skonfigurowany jako multiwibrator astabilny, jest używany jako źródło zegara dla licznika dekadowego IC3. Wygenerowany impuls zegarowy jest dostępny na styku wyjściowym 3 układu IC2. Częstotliwość impulsu zegarowego można obliczyć korzystając z zależności:

W tym projekcie do każdego pinu wyjściowego układu IC3 podłączone są trzy diody LED. Tak więc w sumie trzydzieści diod LED jest podłączonych do dziesięciu pinów wyjściowych układu IC3.

Budowa i testowanie

Diody LED są umieszczone w równych odstępach w okręgu o promieniu około 8 cm na płytce i zamocowane jak pokazano na fotografii otwierającej.

Schemat płytki drukowanej dla układu obracających się lampek LED pokazano na rysunku 2, a rozmieszczenie jego elementów na rysunku 3. Po zmontowaniu układu na płytce drukowanej należy podłączyć stronę wtórną transformatora X1.

Rysunek 2. Układ płytki drukowanej dla obrotowego koła LED
Rysunek 3. Układ elementów na płytce drukowanej

Diody LED mogą być zamontowane na odpowiedniej wielkości płytce uniwersalnej, płycie akrylowej lub innej sztywnej płytce. Narysuj na płytce okrąg o promieniu około 8 cm i zamontuj diody LED w równych odstępach od siebie i z zachowaniem odpowiedniej kolejności diod LED, jak pokazano na rysunku 4.

Rysunek 4. Proponowane rozmieszczenie diod LED na płytce

Jeśli używasz płytki uniwersalnej, możesz łatwo przylutować każdą diodę na płytce i przedłużyć połączenia do PCB za pomocą elastycznych przewodów. W przypadku płyty akrylowej, należy wykonać otwór na każdą diodę LED i zamocować go za pomocą pistoletu do klejenia lub innego materiału klejącego. Przylutuj wszystkie piny LED do elastycznych przewodów i przedłuż je do złącza PCB oznaczonego jako "To LED1-LED30" na rysunku 3.

Gdy układ jest włączony, każdy zestaw trzech diod LED podłączonych do wyjść układu IC3 świeci jedna po drugiej, sekwencyjnie, dzięki czemu cały układ wygląda jak obracające się koło dzięki bezwładności wzroku.

Do pobrania
Download icon Schemat montażowy i PCB

Artykuł Rotating-Wheel LED Lights For Decoration At Functions opracowano w wersji polskiej na podstawie współpracy z portalem www.electronicsforu.com.

Firma:
Tematyka materiału: NE555, 4017, multiwibrator astabilny, efekt LED
AUTOR
Źródło
www.electronicsforu.com
Udostępnij
Zobacz wszystkie quizy
Quiz weekendowy
Theremin
1/10 Lew Termen i Leon Theremin to ta sama osoba. Które nazwisko pojawiło się później?
UK Logo
Elektronika dla Wszystkich
Zapisując się na nasz newsletter możesz otrzymać GRATIS
najnowsze e-wydanie magazynu "Elektronika dla Wszystkich"